М
Молодежь
К
Компьютеры-и-электроника
Д
Дом-и-сад
С
Стиль-и-уход-за-собой
П
Праздники-и-традиции
Т
Транспорт
П
Путешествия
С
Семейная-жизнь
Ф
Философия-и-религия
Б
Без категории
М
Мир-работы
Х
Хобби-и-рукоделие
И
Искусство-и-развлечения
В
Взаимоотношения
З
Здоровье
К
Кулинария-и-гостеприимство
Ф
Финансы-и-бизнес
П
Питомцы-и-животные
О
Образование
О
Образование-и-коммуникации
biksummer23
biksummer23
22.02.2023 02:03 •  Математика

Покозать что выполняется соотношение F=0

👇
Ответ:
Eugene1000
Eugene1000
22.02.2023

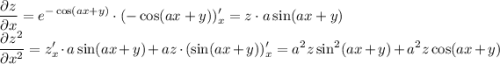
Вычисляем производные:

\displaystyle\frac{\partial z}{\partial y}=e^{-\cos(ax+y)}\cdot(-\cos(ax+y))'_y=z\cdot\sin(ax+y)\\\frac{\partial z^2}{\partial y^2}=z'_y\cdot\sin(ax+y)+z\cdot(\sin(ax+y))'_y=z\sin^2(ax+y)+z\cos(ax+y)

\displaystyle\frac{\partial z}{\partial x}=e^{-\cos(ax+y)}\cdot(-\cos(ax+y))'_x=z\cdot a\sin(ax+y)\\\frac{\partial z^2}{\partial x^2}=z'_x\cdot a\sin(ax+y)+az\cdot(\sin(ax+y))'_x=a^2z\sin^2(ax+y)+a^2z\cos(ax+y)

Подставляем:

F=a^2z\sin^2(ax+y)+a^2z\cos(ax+y)-(a^2z\sin^2(ax+y)+\\+a^2z\cos(ax+y))=0

4,5(57 оценок)
Открыть все ответы
Ответ:
flopeNIX
flopeNIX
22.02.2023
Разработка Схемы территориального планирования Думиничского района выполняется по заказу администрации Муниципального района (МР) «Думиничский район» Содержание отчета сформировано в соответствии с Градостроительным кодексом РФ (глава 3, статья 19) и законом Калужской области «О градостроительной деятельности в Калужской области».Цель работы – разработка Схемы территориального планирования Думиничского района, реализация которой будет формированию устойчивой организации территории при обеспечении градостроительными средствами благоприятной среды жизнедеятельности населения и повышения качества жизни.В соответствии с новым Градостроительным кодексом Российской Федерации (РФ), глава 3, статья 9 «Территориальное планирование направлено на определение в документах территориального планирования назначения территорий исходя из совокупности социальных, экологических и иных факторов в целях обеспечения устойчивого развития территорий, развития инженерной, транспортной и социальной инфраструктур, обеспечения учета интересов граждан и их объединений, Российской Федерации, субъектов Российской Федерации, муниципальных образований».Схема территориального планирования Думиничского района рассматривается как пространственная основа устойчивого развития муниципального района, предполагает определение круга сбалансированных задач комплексного преобразования района и его, рост количественных и улучшение качественных показателей и характеристик всех сторон жизни населения городов и сельских населенных пунктов на основе устойчивого градостроительного развития территории.Процесс выполнения работы включает два последовательных этапа:1. Обоснование проекта схемы территориального планирования:– сбор и систематизация необходимых исходных данных;– комплексный анализ территории района, оценка природно-экологических, социально-экономических и иных аспектов развития территории с обозначением проблемных ситуаций.В составе картографических материалов представляются карты (схемы):1. Карты (схемы) современного использования территории района с отображением административных границ, земель различных категорий, иной информации об использовании соответствующей территории.2. Карты (схемы) ограничений, утвержденные в составе документов территориального планирования Российской Федерации и документов территориального планирования муниципальных образований, в том числе карты (схемы):– границ территорий объектов культурного наследия;– границ зон с особыми условиями использования территории;– границ зон негативного воздействия объектов капитального строительства регионального значения в случае размещения таковых объектов.3. Карты (схемы) с отображением результатов анализа комплексного развития территории и размещения объектов капитального строительства районного значения.В соответствии с действующими планировочными ограничениями на использование территорий для осуществления градостроительной деятельности на Картах (схемах) с отображением результатов анализа комплексного развития территории выделяются территории благоприятные и ограниченно благоприятные для различных видов градостроительной деятельности и определяются территории размещения объектом капитального строительства районного значения.4. Иные карты (схемы).2. Положения территориального планирования муниципального района:– проектные предложения по всем разделам Схемы, которые подразделяются на два этапа – 1 очередь (10 лет) и расчетный срок 20лет;- развитие системы планово- регулярной санитарной очистки в населенных пунктах района;- ликвидацию несанкционированных свалок по всей территории района;- организация утилизации биологических отходов;- внедрение только ресурсосберегающих и экологически безопасных технологий и оборудования для переработки отходов, имеющих положительное заключение государственной экологической экспертизы;- рекультивацию полигонов твердых бытовых отходов (ТБО) с вышедшим сроком 
4,4(1 оценок)
Ответ:
leda2003
leda2003
22.02.2023
Философия тренирует мышление. Позволяет разделить вечное и преходящее. Если ВУЗ технический, то знание знание философии Вам решать задачи не по шаблону и стандарту (иной раз они и не срабатывают) , а в принципе увидеть какое-то решение. Для гуманитарных ВУЗов - это формирование СВОЕГО мнения на основе полученной информации, а не просто цитирование кого-то и перечисление фактов.
Другое дело, что те объёмы предмета, которые даются в процессе обучения, порой кроме отвращения и нежелания изучать предмет, никаких эмоций больше не вызывают.
4,4(2 оценок)
Это интересно:
Новые ответы от MOGZ: Математика
logo
Вход Регистрация
Что ты хочешь узнать?
Спроси Mozg
Открыть лучший ответ