М
Молодежь
К
Компьютеры-и-электроника
Д
Дом-и-сад
С
Стиль-и-уход-за-собой
П
Праздники-и-традиции
Т
Транспорт
П
Путешествия
С
Семейная-жизнь
Ф
Философия-и-религия
Б
Без категории
М
Мир-работы
Х
Хобби-и-рукоделие
И
Искусство-и-развлечения
В
Взаимоотношения
З
Здоровье
К
Кулинария-и-гостеприимство
Ф
Финансы-и-бизнес
П
Питомцы-и-животные
О
Образование
О
Образование-и-коммуникации
Djama1234
Djama1234
05.05.2021 15:59 •  Математика

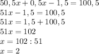
50,5х + 0,5х решить уравнения
1,5 + 3,5 - 4,5=45,5​

👇
Ответ:
лана2661
лана2661
05.05.2021

x=2.

Пошаговое объяснение:

Примечание: Второе "уравнение" я решить не могу, так как в нём нет неизвестной за понимание!

50,5x+0,5x-1,5=100,5\\51x-1,5=100,5\\51x=1,5+100,5\\51x=102\\x=102:51\\x=2

4,8(71 оценок)
Открыть все ответы
Ответ:
Tw1mHero
Tw1mHero
05.05.2021
1 Вариант
экспедиция находит в труднодоступном месте вход на горное плато, где не ступала нога современного человека. там сохранился доледниковый природный мир. но проход на плато скоро оказывается утраченным.  в лондоне вернувшимся первооткрывателям никто не верит. чтобы убедить научное общество, они демонстрируют собранию птеродактиля, который остался единственным доказательством существования затерянного мира. птеродактиль улетает в окно и пропадает. конец.

2 Вариант
Молодой журналист в составе исследовательской экспедиции оказывается в загадочном Затерянном мире, который населяют динозавры и враждующие племена индейцев и человекообезьян.

3 Вариант
https://briefly.ru/dojl/zateriannyy_mir/

почитай полную версию очень классная
4,6(90 оценок)
Ответ:
balbasenok
balbasenok
05.05.2021


1) Строим отрезок, равный радиусу. Например, 2 см. То есть r = 2 см.

2) Отмечаем центр окружности (им будет край отрезка).

3) Измеряем циркулем отрезок, проводим окружность. Раствор циркуля должен оставаться неизменным.

4) Прикладываем линейку к радиусу и "продлеваем" его до пересечения с окружностью.

5) Чтобы узнать длину радиуса, нужно измерить расстояние от центра окружности до любой точки окружности.



упрощённый)


1) Берем произвольную длину радиуса. Пусть r = 2 см.


2) Так как радиус равен половине диаметра, то получаем следующее (вместо r подставляем значение радиуса):

d = 2r ⇒

d = 2·2 = 4 (см) - длина диаметра.


3) Отмечаем центр отрезка (диаметра). Это будет центр окружности. 

Пусть O – центр окружности.


4) Строим окружность с центром в точке О.


5) Чтобы узнать длину радиуса, измеряем расстояние от центра окружности до любой точки окружности.



Построй радиус окружности и измерь его длину.
4,6(26 оценок)
Это интересно:
logo
Вход Регистрация
Что ты хочешь узнать?
Спроси Mozg
Открыть лучший ответ