М
Молодежь
К
Компьютеры-и-электроника
Д
Дом-и-сад
С
Стиль-и-уход-за-собой
П
Праздники-и-традиции
Т
Транспорт
П
Путешествия
С
Семейная-жизнь
Ф
Философия-и-религия
Б
Без категории
М
Мир-работы
Х
Хобби-и-рукоделие
И
Искусство-и-развлечения
В
Взаимоотношения
З
Здоровье
К
Кулинария-и-гостеприимство
Ф
Финансы-и-бизнес
П
Питомцы-и-животные
О
Образование
О
Образование-и-коммуникации
leoni008p08nm5
leoni008p08nm5
14.07.2022 03:02 •  Математика

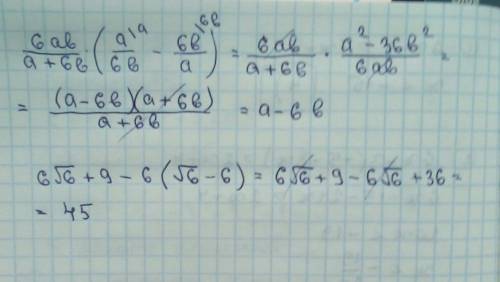
с алгеброй Нужно найти значение выражения.
ответ дать в десятичной дроби.

👇
Ответ:
olesazato
olesazato
14.07.2022

45

Пошаговое объяснение:

фоточка тебе в


с алгеброй Нужно найти значение выражения. ответ дать в десятичной дроби.
4,4(11 оценок)
Открыть все ответы
Ответ:
leralda2107ko
leralda2107ko
14.07.2022
Решение задачи 4:
1) 3*4=12 (ч) работает второй станок.
2) 12+4=16(ч) общее время двух станков.
ответ: за 6 часов можно отштамповать 960 деталей.
 Решение задачи 6:
1) 240:2=120(кар.) в двух коробках поровну.
2) 120-18=102(кар) во второй коробке.
3) 120+18=138(кар) в первой коробке.
ответ: изначально в первой коробке было 138 карандашей, во второй коробке было 102 карандаша.
 Решение задания 1:
а)5*(-4)= -20, ; г)- 2,7 : 6⁄14= -6,3; д) 3 * ( - 14)= -42; е) - 2,6 * ( - 4)=10,4 ;  б) - 7 * ( - 0, 5)= 3.5
2. Вычислите:
а) 12 * ( - 4) + 5 * (- 6) + ( - 4) * ( - 3)= -48-30+12= -66; б) (46⁄3- 7) * (-6⁄3) - ( - 4) * 3= 25/3*(-6/3)+12= -50/3+12= -14/3= -4 2/3;
в) ( - 3) * ( - 2) - 3 * (- 6,4) - 5 * ( - 8)= 6+19,2+40= 65,2; г) (- 2 3⁄6- 8) * (- 27⁄9) - ( - 5) * 8= 16,5-(-5)=21,5;
д) ( - 6 ) * 2 + ( - 5) * (- 8) + 5 * ( - 12)= -12+40-60= -32; е) (- 3 6⁄10 + 7) * ( 26⁄8) + ( - 6) * 7=11,05-42= -30,95;
3. Решите уравнения: 
а) 2⁄5Z = 1 8⁄10
Z=1 8/10 : 2/5
 Z=18/10*5/2
Z=90/20 (или 4,5);
б) 6⁄10Y = 3⁄4 ;
Y= 3/4:6/10
 Y= 3/4*10/6
Y= 30/24 (или 1 1/4)
в) 25⁄6Z = -4⁄9 ;
Z= -4.9: 25/6
 Z= -4/9*6/25
Z= -8/75
г) 4х + 5 = 3х + 7;
 4х-3х=7-5
х=2
д) а - 2⁄3 = 2,4⁄1,2;
а-2/3=2
а=2+2/3
а=2 2/3
е) 4y - 3 = 2y + 7;
 4у-2у=7+3
2у=10
у=5
ж) а - 3⁄4 = 4,8⁄8;
 а=4,8 : 8+3/4
а=0,6+3/4
а=1 7/20
з) 3z - 5 = z + 7;
3z-z=7+5
2z=12
z=6
и) b - 3⁄8 = 5,6⁄4
b=5.6 : 4+3/8
b= 1.4+3/8
b= 1 31/40
4. Вычислите, правильно раскрывая скобки:
а) 4,5 + (2,3 - 5,6)= 4,5+2,3-5,6=1,2;
 б) (44,76 - 3,45) -(12,5 - 3, 56)= 44,76-3,45-12,5+3,56=32,37;
 в) 5,1 - (2,1 + 4,6)=5,1-2,1-4,6=-1,6;
г) (12,7 - 2,6) -(5,3 + 3, 1)=12,7-2,6-5,3-3,1=1,7;
 д) 0,5 - (2,8 + 2,6)=0,5-2,8-2,6= -4,9;
 е) (10,2 - 5,6) - (2,7 + 6, 1)=10,2-5,6-2,7-6,1= -4,2; 
5. Упростите выражения:
а) 5а - (2а - 3b) - (3a + 5b) - a= 5а-2а+3b-3a-5b= -2b;
 б) z + (3z - 3y) - (2z - 4y) - z=z+3z-3y-2z+4y=2z+1y;
 в) c + (6d - 2c) - (d - 4c) – c= c+6d-2c-d+4c=3c+5d;
 д) y - (2y + 12⁄3) - (y - 4⁄6)=y-2y-12/3-y+4/6= -2y-3 1/3;
 е) (3z - 13⁄5) + (z - 2⁄10)=3z-13/5+z-2/10=4z-2 4/5.
 г) 5x + (3x + 3 4⁄2) + (2x - 4⁄4)=5x+3x+3 4/2+2x-4/4= 10x+1/
надеюсь,мои ответы вам очень жду вашего вердикта.не решала те задания, в которых засомневалась.
4,6(15 оценок)
Ответ:
krasotka8726
krasotka8726
14.07.2022
7+2+2=11 (частей всего)
440:11=40 (г) 1 часть
40*2=80 (г)
ответ: требуется 80 г сахара

х - скорость в стоячей воде
х+4 - скорость по течению
х-4 - скорость против течения
3(х+4)-7=5(х-4)
3х+12-7=5х-20
12-7+20=5х-3х
2х=25
х=25:2
х=12,5 (км/ч)
ответ: скорость в стоячей воде 12,5 км/ч

(27-5):2=11 (кар)
11+5-16 (кар)
ответ:в одной 16 карандашей, в другой 11 карандашей

1 часть в ведре
3 части в баке
1+3=4 части всего
24:4=6 (л)
ответ: в ведре 6 л воды

х -яблоки
2х - сливы
х+2х=18
3х=18
х=18:3
х=6 (яблок)
ответ: положили 6 яблок

х лет Андрею
3х лет Олегу
3х-х=8
2х=8
х=8:2
х=4 (лет) Андрею
3х=3*4=12 (лет) Олегу
ответ: Олегу 12 лет, Андрею 4 года

х лет - Сереже
х+4 лет Саше
х+1 лет будет Сереже через год
х+4+1=х+5 лет будет Саше
х+1+х+5=20
2х=20-6
2х=14
х=14:2
х=7 лет Сереже
х+4=7+4=11 лет Саше

х л бензина во втором
2х л - в первом баке
2х-7=х+3
2х-х=3+7
х=10 (л) во 2-м
ответ: во втором баке было 10 л бензина

х - во втором детском саду
3х - детей в первом
3х-30=х+30
3х-х=30+30
2х=60
х=60:2
х=30 (детей)
ответ: во втором было 30 детей
4,4(33 оценок)
Это интересно:
Новые ответы от MOGZ: Математика
logo
Вход Регистрация
Что ты хочешь узнать?
Спроси Mozg
Открыть лучший ответ