М
Молодежь
К
Компьютеры-и-электроника
Д
Дом-и-сад
С
Стиль-и-уход-за-собой
П
Праздники-и-традиции
Т
Транспорт
П
Путешествия
С
Семейная-жизнь
Ф
Философия-и-религия
Б
Без категории
М
Мир-работы
Х
Хобби-и-рукоделие
И
Искусство-и-развлечения
В
Взаимоотношения
З
Здоровье
К
Кулинария-и-гостеприимство
Ф
Финансы-и-бизнес
П
Питомцы-и-животные
О
Образование
О
Образование-и-коммуникации
настя8412
настя8412
26.03.2020 14:22 •  Математика

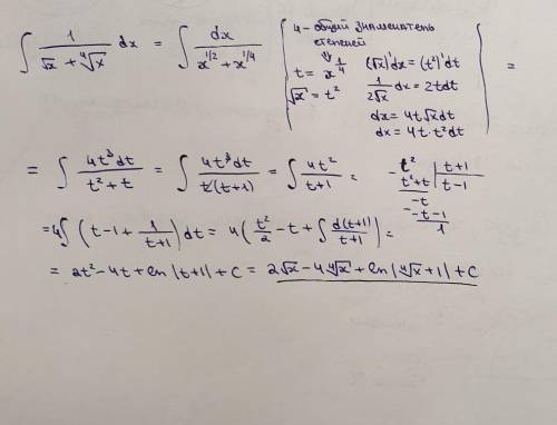
Здравствуйте решить интеграл методом замены переменной! Заранее благодарю!

👇
Ответ:
arinka3859
arinka3859
26.03.2020

решение на фотографии


Здравствуйте решить интеграл методом замены переменной! Заранее благодарю!
4,4(31 оценок)
Открыть все ответы
Ответ:
pavdora073539
pavdora073539
26.03.2020

Сочетательное свойство умножения ?(a·b)·c=a·(b·c) так это свойство записывается в общем виде, словами тут не скажешь.

Как называются числа при делении ?делимое:делитель=частное

Как найти делимое при делении с остатком ?  надо неполное частное умножить на делитель и прибавить остаток получишь делимое

Распределительное свойство умножения относительно суммы? (a+b)·c=a·c+b·c чтобы сумму двух чисел умножить на число надо каждое слагаемое умножить на это число а результаты сложить

Распределительное свойство умножения относительно разности ? (a-b)·c=a·c-b·c чтобы разность двух чисел уножить на число надо уменьшаемое и вычитаемое умножить на это число а результаты вычесть

4,4(72 оценок)
Ответ:
саня1336
саня1336
26.03.2020

Везде приводим к общему знаменателю:

1)1/5+1/9+1/3=41/60

1/5+1/9=9/45+5/45=14/45

14/45+1/3=14/45+15/45=29/45

2)1/2+3/5-2/3=0,1

1/2+3/5=5/10+6/10=11/10=1 1/10

1 1/10-2/3= 11/10-2/3=33/30-20/30=13/30

3)5/6+3/8-1/4=23/24

5/6+3/8=20/24+9/24=29/24=1 5/24

1 5/24-1/4=1 5/24-6/24=29/24-6/24=23/24

4)5/9+1/6+3/4=1 17/36

5/9+1/6=20/36+6/36=26/36=13/18

13/18+3/4=26/36+27/36=53/36=1 17/36

5)1/3+4/9+5/6=1 11/18

1/3+4/9=3/9+4/9=7/9

7/9+5/6=28/36+30/36=58/36=29/18=1 11/18

6)1/4+1/5-3/10=3/20

1/4+1/5=5/20+4/20=9/20

9/20-3/10=9/20-6/20=3/20

4,6(52 оценок)
Это интересно:
Новые ответы от MOGZ: Математика
logo
Вход Регистрация
Что ты хочешь узнать?
Спроси Mozg
Открыть лучший ответ