М
Молодежь
К
Компьютеры-и-электроника
Д
Дом-и-сад
С
Стиль-и-уход-за-собой
П
Праздники-и-традиции
Т
Транспорт
П
Путешествия
С
Семейная-жизнь
Ф
Философия-и-религия
Б
Без категории
М
Мир-работы
Х
Хобби-и-рукоделие
И
Искусство-и-развлечения
В
Взаимоотношения
З
Здоровье
К
Кулинария-и-гостеприимство
Ф
Финансы-и-бизнес
П
Питомцы-и-животные
О
Образование
О
Образование-и-коммуникации
moonmyrreg
moonmyrreg
09.07.2020 08:27 •  Математика

Найти интеграл dx/(sin^2x*cos^4x) (замена t=tgx)

👇
Ответ:
мротмсс
мротмсс
09.07.2020

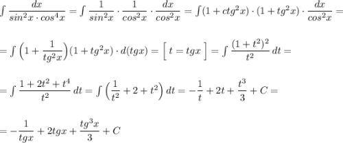
\int \dfrac{dx}{sin^2x\cdot cos^4x}=\int \dfrac{1}{sin^2x}\cdot \dfrac{1}{cos^2x}\cdot \dfrac{dx}{cos^2x}=\int (1+ctg^2x)\cdot (1+tg^2x)\cdot \dfrac{dx}{cos^2x}=\\\\\\=\int \Big(1+\dfrac{1}{tg^2x}\Big)(1+tg^2x)\cdot d(tgx)=\Big[\; t=tgx\; \Big]=\int \dfrac{(1+t^2)^2}{t^2}\, dt=\\\\\\=\int \dfrac{1+2t^2+t^4}{t^2}\, dt=\int \Big(\dfrac{1}{t^2}+2+t^2}\Big)\, dt=-\dfrac{1}{t}+2t+\dfrac{t^3}{3}+C=\\\\\\=-\dfrac{1}{tgx}+2tgx+\dfrac{tg^3x}{3}+C

4,7(58 оценок)
Открыть все ответы
Ответ:
danilfag
danilfag
09.07.2020

Периметр прямоугольника по формуле: Р = 2*(a+b).

Рисунок к задаче в приложении.

ДАНО: a = 4 м, b = 3 м, c = 3 м.

РЕШЕНИЕ

Из рисунка видно, что можно применить два варианта расчёта.

Вариант 1. Сумма периметров двух пар стен.

Р₁ = 2*(a+b) = 2*(4+3) = 14 м - периметр длинной стены.

Р₂ = 2*(b+c) = 2*(3+3) = 12 м - периметр короткой стены.

Р = 2*(Р₁+Р₂) = 2*(14+12) = 52 м - периметр стен -  ОТВЕТ 1

Вариант 2. Сумма длин всех  рёбер прямоугольника плюс 4 длины высоты стен.

Формула суммы длин рёбер параллелепипеда:

P₁ = 4*(a+b+c) = 4*(4+3+3) = 4*10 = 40 метров

Р = Р₁ + 4*b = 40 + 4*3 = 40+12 = 52 м - периметр - ОТВЕТ 2


Вычисли вычисли периметр стен если длина комнаты 4 м ширина 3 м высота потолка 3 м
4,4(89 оценок)
Ответ:
helen15111983
helen15111983
09.07.2020

Периметр прямоугольника по формуле: Р = 2*(a+b).

Рисунок к задаче в приложении.

ДАНО: a = 4 м, b = 3 м, c = 3 м.

РЕШЕНИЕ

Из рисунка видно, что можно применить два варианта расчёта.

Вариант 1. Сумма периметров двух пар стен.

Р₁ = 2*(a+b) = 2*(4+3) = 14 м - периметр длинной стены.

Р₂ = 2*(b+c) = 2*(3+3) = 12 м - периметр короткой стены.

Р = 2*(Р₁+Р₂) = 2*(14+12) = 52 м - периметр стен -  ОТВЕТ 1

Вариант 2. Сумма длин всех  рёбер прямоугольника плюс 4 длины высоты стен.

Формула суммы длин рёбер параллелепипеда:

P₁ = 4*(a+b+c) = 4*(4+3+3) = 4*10 = 40 метров

Р = Р₁ + 4*b = 40 + 4*3 = 40+12 = 52 м - периметр - ОТВЕТ 2


Вычисли вычисли периметр стен если длина комнаты 4 м ширина 3 м высота потолка 3 м
4,5(40 оценок)
Это интересно:
logo
Вход Регистрация
Что ты хочешь узнать?
Спроси Mozg
Открыть лучший ответ