



1)x=-1 , 2)x=-3, 3)x=10, 4)x=1
518,4 кв.дм
Пошаговое объяснение:
1) Р = (a + b) * 2 - формула периметра прямоугольника
8/3 - обратно числу 3/8; 12/5 - обратно числу 5/12
Пусть х - коэффициент пропорциональности, тогда
а = 8/3х (дм) - ширина; b = 12/5х (дм) - длина. Уравнение:
8/3х + 12/5х = 91,2 : 2
40/15х + 36/15х = 45,6
76/15х = 45,6
х = 45,6 : 76/15
х = 45,6 : 76 * 15
х = 9
а = 8/3 * 9 = 8 * 3 = 24 (дм) - ширина
b = 12/5 * 9 = 108/5 = 21,6 (дм) - длина
2) S = a * b - формула площади прямоугольника
S = 24 * 21,6 = 518,4 (кв.дм) - площадь этого прямоугольника
ответ: 518,4 кв.дм.
Meine Familie besteht aus sechs Personen. Sie besteht aus meinem Vater, meiner Mutter, meinen Großeltern, meiner jüngeren Schwester und mir.
Wir haben eine Dreizimmerwohnung und wir wohnen in Zhytomyr, im Vorort der Stadt. Meine Großeltern wohnen im Dorf, Zhytomyrer Gebiet, etwa 7 Kilometer von Zhytomyr entfernt.
Mein Vater heißt Bohdan Oleksiiovych. Er ist 45 Jahre alt und arbeitet als Privatunternehmer. Er betreibt den Handel mit Computern und dem Computerzubehör. Er ist ein Mann von mittlerem Wachs. Seine Haare sind schwarz und er trägt sie stets kurz geschnitten. Seine Augen sind blau. Mein Vater hat viele Hobbys. Er ist leidenschaftlicher Computeranhänger. Er verkauft nicht nur Computer, sondern er hat Sinn für ihre Reparaturen.
Oft hat er viel damit zu tun und schenkt weniger Zeit für unsere Familie. Wir haben aber immer ein Verständnis dazu. Abends liest er sehr viel und gern. Er spielt auch gut Schach. Er ist ein Sammler. Er sammelt verschiedenste Bierdosen. Er hat eine große Sammlung zu Hause schon. Ich liebe meinen Vater sehr.
Моя сім’я складається з шести осіб. Вона складається з мого батька, моєї матері, мого дідуся та бабусі та моєї молодшої сестри і мене.
У нас є трикімнатна квартира, і ми живемо в Житомирі, у передмісті міста. Мої бабусі й дідусі живуть у селищі Житомирської області, приблизно в 7 кілометрах від Житомира.
Ім’я мого батька – Богдан Олексійович. Йому 43 роки і працює як приватний підприємець. Він керує торгівлею комп’ютерами та комп’ютерними аксесуарами. Він чоловік середнього росту. Його волосся чорне, і він завжди носить коротку стрижку. Його очі голубі. У мого батька багато захоплень. Він пристрасний комп’ютерний прихильник. Він не тільки продає комп’ютери, але й уміє їх ремонтувати.
Він часто багато часу проводить за цим і витрачає менше часу на сім’ю. Але ми завжди розуміємо його. Увечері він багато любить читати. Він також добре грає в шахи. Він колекціонер. Він збирає різні пивні банки. У нього вже є велика колекція вдома. Я дуже люблю свого тата.
Пошаговое объяснение:
Держи
всего хорошего
1) х=-1
2) х=-3
3) х=10
4) х=1
Пошаговое объяснение:
1) -8(3х-2)+5(5х-3)=0
-24х+16+25х-15=0
х+1=0
х=-1
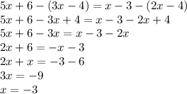
2) 5х+6-(3х-4)=х-3-(2х-4)
5х+6-3х+4=х-3-2х+4
2х-х+2х=-3-6
3х=-9
х=-3
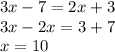
3) 3х-7=2х+3
3х-2х=3+7
х=10
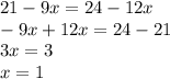
4) 21-9х=24-12х
-9х+12х=24-21
3х=3
х=1