Пошаговое объяснение:




вот
Пошаговое объяснение: y'' + 10y' + 24y = 6e^(-6x) + 168x + 118
Неоднородное уравнение 2 порядка.
y(x) = y0 + y* (решение однородного + частное решение неоднородного).
Решаем однородное уравнение
y'' + 10y' + 24y = 0
Характеристическое уравнение
k^2 + 10k + 24 = 0
(k + 4)(k + 6) = 0
y0 = C1*e^(-4x) + C2*e^(-6x)
Находим частное решение неоднородного уравнения
-6 - один из корней характеристического уравнения, поэтому
y* = A*x*e^(-6x) + B1*x + B2
y* ' = A*e^(-6x) - 6Ax*e^(-6x) + B1
y* '' = -6A*e^(-6x) - 6A*e^(-6x) + 36A*x*e^(-6x)
Подставляем в уравнение
-6A*e^(-6x) - 6A*e^(-6x) + 36A*x*e^(-6x) + 10A*e^(-6x) - 60Ax*e^(-6x) + 10B1 + 24A*x*e^(-6x) + 24B1*x + 24B2 = 6e^(-6x) + 168x + 118
(-6A - 6A + 36A*x + 10A - 60A*x + 24A*x)*e^(-6x) + 24B1*x + (10B1 + 24B2) =
= 6e^(-6x) + 168x + 118
Приводим подобные в скобке при e^(-6x)
-12A + 10A + 60A*x - 60A*x = -2A
Подставляем
-2A*e^(-6x) + 24B1*x + (10B1 + 24B2) = 6e^(-6x) + 168x + 118
Коэффициенты при одинаковых множителях должны быть равны
{ -2A = 6
{ 24B1 = 168
{ 10B1 + 24B2 = 118
Решаем
{ A = -3
{ B1 = 7
{ 70 + 24B2 = 118; B2 = (118 - 70)/24 = 48/24 = 2
y* = -3x*e^(-6x) + 7x + 2
ответ: y = y0 + y* = C1*e^(-4x) + C2*e^(-6x) - 3x*e^(-6x) + 7x + 2
Пошаговое объяснение:
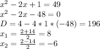
a)x²-2x+1=49
x²-2x-48=0
D=4+192=196
X1=2+14/2*1=16/2=8
X2=2-14/2*1=-12/2=-6
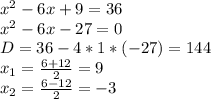
b)x²-6x+9=36
x²-6x-27=0
D=36+108=144
X1=6+12/2*1=18/2=9
X2=6-12/2*1=-6/2=-3
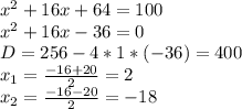
c)x²+16x+64=100
x²+16x-36=0
D=256+144=400
X1=-16+20/2*1=4/2=2
X2=-16-20/2*1=-36/2=-18
d)x²-10x+25=144
x²-10x-119=0
D=100+476=576
X1=10+24/2*1=34/2=17
X2=10-24/2*1=-14/2=-7