М
Молодежь
К
Компьютеры-и-электроника
Д
Дом-и-сад
С
Стиль-и-уход-за-собой
П
Праздники-и-традиции
Т
Транспорт
П
Путешествия
С
Семейная-жизнь
Ф
Философия-и-религия
Б
Без категории
М
Мир-работы
Х
Хобби-и-рукоделие
И
Искусство-и-развлечения
В
Взаимоотношения
З
Здоровье
К
Кулинария-и-гостеприимство
Ф
Финансы-и-бизнес
П
Питомцы-и-животные
О
Образование
О
Образование-и-коммуникации
kseniaksu1
kseniaksu1
19.11.2021 16:04 •  Математика

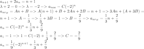
Найдите решение рекуррентного соотношения. ответ на второй картинке.

👇
Ответ:
teenwolfgrrArina
teenwolfgrrArina
19.11.2021

a_{n+1}+2a_n=n+1\\ \lambda+2=0=\lambda=-2=a_{noo}=C(-2)^n\\ a_{nr_H}=An+B=A(n+1)+B+2An+2B=n+1=3An+(A+3B)=n+1=A=\dfrac{1}{3}=\dfrac{1}{3}+3B=1=B=\dfrac{2}{9}=a_{nr_H}=\dfrac{1}{3}n+\dfrac{2}{9}\\ a_n=C(-2)^n+\dfrac{1}{3}n+\dfrac{2}{9}\\ a_1=1=1=C(-2)+\dfrac{1}{3}+\dfrac{2}{9}=C=-\dfrac{2}{9}\\ a_n=\dfrac{1}{9}(-2)^{n+1}+\dfrac{1}{3}n+\dfrac{2}{9}

4,4(53 оценок)
Открыть все ответы
Ответ:
fawnsvalley
fawnsvalley
19.11.2021
Чтобы у числа 100000, было ровно ШЕСТЬ делителей, необходимо чтобы эти делители были простыми числами!! ! 
Два числа мы уже знаем это 7 и 41, их произведение равно: 7*41=287. Теперь нам необходимо найти еще 4 простых числа, которые бы удовлетворяли требованию: их произведение не должно быть больше 348 (100000/287=348 ).
Выписываем простые числа: 2; 3; 5; 11;13 ну и т. д. (7-ку не пишем т. к. она у нас уже была) .
И мы видим что этому требованию (произведение 4-х делителей не больше 348), удовлетворяет произведение только одной четверки цифр. это 2; 3; 5; 11 (2*3*5*11=330)
2; 3; 5; 13 нам уже не подходят т. к. 2*3*5*13=390, что не удовлетворяет нашим условиям.
Итак ответ такой будет: делители будут такие: 2; 3; 5; 7; 11; 41Ну соответственно само число: 2*3*5*7*11*41 = 94710
4,7(15 оценок)
Ответ:
plenkinanatash
plenkinanatash
19.11.2021
I
Росла в лесу дикая яблоня; осенью упало с неё кислое яблоко. Птицы склевали яблоко, поклевали и зёрнышки.Одно только зёрнышко спряталось в землю и осталось.Зиму пролежало зёрнышко под снегом, а весной, когда солнышко пригрело мокрую землю, зерно стало прорастать: пустило вниз корешок, а кверху выгнало два первых листика. Из промеж листочков выбежал стебелёк с почкой, а из почки, наверху, вышли зелёные листики. Почка за почкой, листик за листиком, веточка за веточкой - и лет через пять хорошенькая яблонька стояла на том месте, где упало зёрнышко.Пришёл в лес садовник с заступом, увидал яблоньку и говорит: «Вот хорошее деревцо, оно мне пригодится».Задрожала яблонька, когда садовник стал её выкапывать, и думает: «Пропала я совсем!» Но садовник выкопал яблоньку осторожно, корешков не повредил, перенёс её в сад и посадил в хорошую землю.
II
Загордилась яблонька в саду: «Должно быть, я редкое дерево, - думает она, - когда меня из лесу в сад перенесли», - и свысока посматривает вокруг на некрасивые пеньки, завязанные тряпочками; не знала она, что попала в школу.На другой год пришёл садовник с кривым ножом и стал яблоньку резать.Задрожала яблонька и думает: «Ну, теперь-то я совсем пропала».Срезал садовник всю зелёную верхушку деревца, оставил один пенёк, да и тот ещё расщепил сверху; в трещину воткнул садовник молодой побег от хорошей яблони; закрыл рану замазкой, обвязал тряпочкой, обставил новую прищепку колышками и ушёл.
III
Прихворнула яблонька; но была она молода и сильна, скоро поправилась и срослась с чужой веточкой.Пьёт веточка соки сильной яблоньки и растёт быстро: выкидывает почку за почкой, лист за листком, выгоняет побег за побегом, веточку за веточкой, и года через три зацвело деревцо бело-розовыми душистыми цветами.Опали бело-розовые лепестки, и на их месте появилась зелёная завязь, а к осени из завязи сделались яблоки; да уж не дикие кислицы, а большие, румяные, сладкие, рассыпчатые!И такая-то хорошенькая удалась яблонька, что из других садов приходили брать от неё побеги для прищеп.
4,4(57 оценок)
Это интересно:
Новые ответы от MOGZ: Математика
Полный доступ к MOGZ
Живи умнее Безлимитный доступ к MOGZ Оформи подписку
logo
Вход Регистрация
Что ты хочешь узнать?
Спроси Mozg
Открыть лучший ответ