М
Молодежь
К
Компьютеры-и-электроника
Д
Дом-и-сад
С
Стиль-и-уход-за-собой
П
Праздники-и-традиции
Т
Транспорт
П
Путешествия
С
Семейная-жизнь
Ф
Философия-и-религия
Б
Без категории
М
Мир-работы
Х
Хобби-и-рукоделие
И
Искусство-и-развлечения
В
Взаимоотношения
З
Здоровье
К
Кулинария-и-гостеприимство
Ф
Финансы-и-бизнес
П
Питомцы-и-животные
О
Образование
О
Образование-и-коммуникации
teymurvalikhan1
teymurvalikhan1
17.05.2023 14:50 •  Математика

Высшая математика. Несобственные интегралы Напишите решение на бумаге.

👇
Ответ:
MaxZvanie
MaxZvanie
17.05.2023

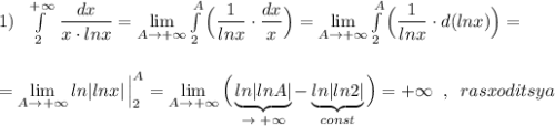
1)\; \; \int\limits^{+\infty }_2\, \dfrac{dx}{x\cdot lnx}=\lim\limits _{A \to +\infty}\int\limits^{A}_2\Big(\dfrac{1}{lnx}\cdot \dfrac{dx}{x}\Big)=\lim\limits _{A \to +\infty}\int\limits^{A}_2\Big(\dfrac{1}{lnx}\cdot d(lnx)\Big)=\\\\\\=\lim\limits _{A \to +\infty}ln|lnx|\, \Big|_2^{A}=\lim\limits _{A \to +\infty}\Big(\underbrace {ln|lnA|}_{\to \; +\infty }-\underbrace {ln|ln2|}_{const}\Big)=+\infty \; \; ,\; \; rasxoditsya

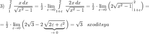
2)\; \; \int \limits _1^{+\infty }\, x\, cosx\, dx=\lim\limits _{A \to +\infty}\int\limits^{A}_1\, x\, cosx\, dx=\\\\\\=\Big [\; \int x\cdot cosx\, dx=[\; u=x\; ,\; du=dx\; ,\; dv=cosx\, dx\; ,\; v=sinx\; ]=\\\\=uv-\int v\, du=x\cdot sinx-\int sinx\, dx=x\cdot sinx+cosx+C\; \Big ]=\\\\\\=\lim\limits _{A \to +\infty}\Big (x\cdot sinx+cosx\Big)\Big|_1^{A}=\lim\limits _{A \to +\infty}\Big(A\cdot sinA+cosA-sin1+cos1\Big)=\infty \\\\rasxoditsya

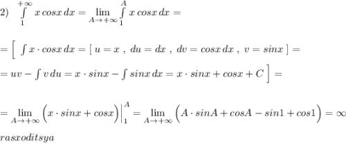
3)\; \; \int\limits^2_1\, \dfrac{x\, dx}{\sqrt{x^2-1}}=\frac{1}{2}\cdot \lim\limits _{\varepsilon \to 0}\int\limits^2_{1+\varepsilon }\, \dfrac{2x\, dx}{\sqrt{x^2-1}}=\frac{1}{2}\cdot \lim\limits _{\varepsilon \to 0}\Big(2\sqrt{x^2-1}\Big|_{1+\varepsilon }^2\Big)=\\\\\\=\frac{1}{2}\cdot \lim\limits _{\varepsilon \to 0} \Big(2\sqrt{3}-2\underbrace {\sqrt{2\varepsilon +\varepsilon ^2}}_{\to \; 0}}\Big)=\sqrt3\; \; \; sxoditsya

4)\; \; \int\limits^1_0\, \dfrac{dx}{x^2}}=\lim\limits _{\varepsilon \to +0}\int\limits^1_{\varepsilon }\, \dfrac{dx}{x^2}=\lim\limits _{\varepsilon \to +0}\Big(-\dfrac{1}{x}\, \Big|_{\varepsilon }^1\Big)=\lim\limits _{\varepsilon \to +0} \Big(-\dfrac{1}{1}+\dfrac{1}{\varepsilon }\Big)=+\infty \; \; \; rasxoditsya

5)\; \; \int\limits^1_0\, \dfrac{dx}{\sqrt{x}}}=\lim\limits _{\varepsilon \to +0}\int\limits^1_{\varepsilon }\, \dfrac{dx}{\sqrt{x}}=\lim\limits _{\varepsilon \to +0}\Big(2\sqrt{x}\, \Big|_{\varepsilon }^1\Big)=\lim\limits _{\varepsilon \to +0} \Big(2\sqrt{1}-2\sqrt{{\varepsilon }}\Big)=2\; \; \; sxoditsya

4,6(17 оценок)
Открыть все ответы
Ответ:
89004613297cn
89004613297cn
17.05.2023
1) Первый фермер хочет продать 5 тонн ячменя за: 990*5=4950 зедов, а 6 тонн ржи за: 970*6=5820
Тогда его выручка за весь товар составит: 4950+5820=10770

2) Второй фермер хочет продать 6 тонн ячменя за: 980*6=5880 зедов, а 7 тонн ржи за: 980*7=6860
Тогда его выручка за весь товар составит: 4950+5820=12740 зедов

3) Пусть х зедов  будет стоить тонна ячменя, а у зедов - тонна ржи. Составим систему уравнения (обозначьте скобками), учитывая выручку за весь товар первого фермера - 10770 зедов, а второго фермера - 12740 зедов:

5х+6у=10770 (-1,2)
6х+7у=12740

5х+6у=10770 ( умножим на -1,2)
6х+7у=12740

-6х-7,2у=-12924
 6х+7у=12740

Решим методом сложения:
(-6х+6х)+(-7,2+7)=-12924+12740
-0,2у=-184(умножим на -1)
0,2у=184
у=920 (рублей)  - перекупщик может предложить за тонну ржи

Подставим значение у в одно из уравнений и найдем х:
6х+7*920=12740
6х=12740-6440
6х=6300
х=1050 (рублей) - перекупщик может предложить за тонну ячменя.
(Проверим выручку 5*1050+6*920=5250+5520=10770 (первый фермер) 6*1050+7*920=6300+6440=12740 (второй фермер)).

ответ: перекупщик может предложить 1050 рублей за тонну ячменя и 920 рублей за тонну ржи.
4,7(57 оценок)
Ответ:
Iekul
Iekul
17.05.2023
Если вы полагаете, что старейший отечественный музей русского искусства — Третьяковская галерея или Русский музей, то ошибаетесь. Первым общедоступным художественным собранием в дореволюционной России стал Саратовский музей, открытый в 1885 году внуком мятежного писателя Александра Радищева Алексеем Боголюбовым.
И Эрмитаж, и Академия художеств стали первыми “высочайшими пожертвователями” музея. Покровитель Боголюбова Александр III разрешил ему отобрать из запасных фондов Эрмитажа некоторое количество картин. Вкус не подвел художника. Картины были отобраны первоклассные, среди них — шедевр младшего современника Рафаэля и Микеланджело Джорджо Вазари.
4,6(30 оценок)
Это интересно:
Новые ответы от MOGZ: Математика
logo
Вход Регистрация
Что ты хочешь узнать?
Спроси Mozg
Открыть лучший ответ