М
Молодежь
К
Компьютеры-и-электроника
Д
Дом-и-сад
С
Стиль-и-уход-за-собой
П
Праздники-и-традиции
Т
Транспорт
П
Путешествия
С
Семейная-жизнь
Ф
Философия-и-религия
Б
Без категории
М
Мир-работы
Х
Хобби-и-рукоделие
И
Искусство-и-развлечения
В
Взаимоотношения
З
Здоровье
К
Кулинария-и-гостеприимство
Ф
Финансы-и-бизнес
П
Питомцы-и-животные
О
Образование
О
Образование-и-коммуникации
zelenskiy10000
zelenskiy10000
13.01.2022 09:25 •  Математика

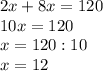
1)2х+8х=120
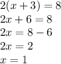
2) 2(х+3)=8
3) 13х-18=7х+24
4)250(х-14)+500х=1000
5) 7х+15=42-2х
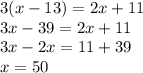
6) 3(х-13)=2х+11
Дайте ответ

👇
Ответ:
wwwraisakravets
wwwraisakravets
13.01.2022

Пошаговое объяснение:

2x+8x=120\\10x=120\\x=120:10\\x=12

2(x+3)=8\\2x+6=8\\2x=8-6\\2x=2\\x=1

13x-18=7x+24\\13x-7x=24+18\\6x=42\\x=7

250(x-14)+500x=1000\\250x-3500+500x=1000\\750x=4500\\x=4500:750\\x=6

7x+15=42-2x\\7x+2x=42-15\\9x=27\\x=27:9\\x=3

3(x-13)=2x+11\\3x-39=2x+11\\3x-2x=11+39\\x=50

4,5(10 оценок)
Открыть все ответы
Ответ:
denchik83
denchik83
13.01.2022
Важно; не рассматривать чужие вещи и не говорить что они крутые, не укать и не окать.ведь могут подумать, что вы деревня или беднота какая нибудь.но также важно знать, что если ты приходишь   в гости к знакомому человеку, веди себя как хочешь, клади ноги на   стол, расслабься, ведь рядом свои.но если человек незнакомый: 1опасайся..я 2стащи с кухни что-нибудь остренькое 3не говори 4играй в молчанку итог: в конце концов тебе побыстрее выгонят и больше не будут ждать в гости, можно раслабиться
4,4(5 оценок)
Ответ:
serguhovaannagmail
serguhovaannagmail
13.01.2022
Дубровского непроста. он сын поручика гвардии, рано оставшийся без матери. с детства воспитывался в кадетском училище. однажды молодому корнету приходит известие о том, что отец его тяжко болен, а их родовое имение переходит во владение троекурову, для которого крестьяне были всего лишь рабами, с которыми можно обходиться, как заблагорассудится. владимир же, напротив, исполнен дворянской чести и достоинства, а к крепостным относится по-человечески.получив отпуск, молодой дубровский мчится домой к отцу, однако вскоре после его приезда тот умирает. чтобы родной дом не достался врагу, владимир его поджигает. крепостные, не пожелавшие переходить к троекурову, уходят за дубровским в лес. чтобы их прокормить, дворянину приходится стать разбойником.неудивительно, что он мечтает о мести, но пока ждет удобного момента, влюбляется в машу - дочку троекурова. любовь заставляет его отказаться от своих планов. однако все усугубляется тем, что машу насильно замуж за пожилого князя. дубровский всячески старается спасти девушку от этого замужества, но ему это не удается.люди дубровского окружают машину карету во время переезда в имение мужа, но она отказывается от его , объясняя свое решение данной клятвой. спустя какое-то время отряд дубровского попытались окружить власти, но, к счастью, безуспешно. после этого он распускает банду и уезжает за границу.думаю, эта повесть заставляет задуматься, но не о любви, а о понимании чести, благородства, о справедливости и продажном правосудии. ведь романтический налет в произведении скрывает под собой жестокую реальность тех времен. богатый и необремененный честью дворянин мог с легкостью лишить неугодного человека всего. он, как помещик, имел полную власть над крепостными, а также над менее влиятельными соседями.
4,8(5 оценок)
Это интересно:
Новые ответы от MOGZ: Математика
logo
Вход Регистрация
Что ты хочешь узнать?
Спроси Mozg
Открыть лучший ответ