М
Молодежь
К
Компьютеры-и-электроника
Д
Дом-и-сад
С
Стиль-и-уход-за-собой
П
Праздники-и-традиции
Т
Транспорт
П
Путешествия
С
Семейная-жизнь
Ф
Философия-и-религия
Б
Без категории
М
Мир-работы
Х
Хобби-и-рукоделие
И
Искусство-и-развлечения
В
Взаимоотношения
З
Здоровье
К
Кулинария-и-гостеприимство
Ф
Финансы-и-бизнес
П
Питомцы-и-животные
О
Образование
О
Образование-и-коммуникации
helpmepls1234566
helpmepls1234566
24.03.2022 16:06 •  Математика

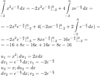
Integtal 0 до -2 (x^2e^(-x/2))

👇
Ответ:
RPkhf
RPkhf
24.03.2022

\displaystyle\int\limits^0_{-2}x^2e^{-\frac{x}{2}}dx=-2x^2e^{-\frac{x}{2}}|^0_{-2}+4\int\limits^0_{-2} xe^{-\frac{x}{2}}dx=\\=-2x^2e^{-\frac{x}{2}}|^0_{-2}+4(-2xe^{-\frac{x}{2}}|^0_{-2}+2\int\limits^0_{-2} e^{-\frac{x}{2}}dx)=\\=-2x^2e^{-\frac{x}{2}}|^0_{-2}-8xe^{-\frac{x}{2}}|^0_{-2}-16e^{-\frac{x}{2}}|^0_{-2}=\\=-16+8e-16e+16e=8e-16\\\\u_1=x^2;du_1=2xdx\\dv_1=e^{-\frac{x}{2}}dx;v_1=-2e^{-\frac{x}{2}}\\u_2=x;du_2=dx\\dv_2=e^{-\frac{x}{2}}dx;v_2=-2e^{-\frac{x}{2}}

4,7(36 оценок)
Открыть все ответы
Ответ:
seva0311
seva0311
24.03.2022
Ядовитыми называются растения, содержащие такие химические вещества, которые, попав в организм человека или животного, вызывают отравление. Отравление может привести к тяжелому заболеванию и даже к смерти. Для самого растения ядовитые вещества имеют большое значение. Они защищают растение от животных, которые могли бы съесть его стебли, листья, корни или семена.
К ядовитым веществам, содержащимся в растениях, относятся азотистые соединения (алкалоиды) , соединения Сахаров со спиртами, кислотами и другими веществами (гликозиды) , растительные мыла (сапонины) , горькие вещества, токсины, смолы, углеводороды и др.
У некоторых растений ядовиты кора и плоды, а листья и цветки совсем безвредны (крушина) , у других ядовиты цветки (гречиха) , у третьих — только плоды (плевел) , а у некоторых видов ядовито все растение, кроме плодов (сумах) . Есть растения целиком ядовитые (вороний глаз) . По мере развития растения количество ядовитых веществ в нем меняется.
Человек и различные виды животных неодинаково восприимчивы к различным ядам. Так, атропин, содержащийся в белладонне, например, сильно действует на людей, опасен он для кошек, собак и птиц, но слабо действует на лошадей, свиней и коз, а для кроликов совсем безвреден. Птицы погибают от плодов аниса, тмина и укропа, а человек использует их в пищу. Отчасти подобное явление объясняется физиологическими особенностями человека и различных видов животных, и прежде всего особенностями строения пищеварительных органов и нервной системы, потому что ядовитые вещества в большинстве случаев попадают в организм вместе с пищей и в первую очередь действуют на нервные клетки.
Дети, а также молодняк животных более чувствительны к ядам и лекарствам, чем взрослые, и поэтому гораздо чаще отравляются ядовитыми растениями. Это случается и потому, что дети не знают, какие растения ядовиты. Ядовитые растения нельзя брать в рот; невымытой рукой, державшей их, нельзя касаться глаз. Некоторые яды находятся в соке растений, который растворить жир, покрывающий поверхность кожи; впитываясь в кожу и попадая в кровь, такой сок вызывает отравление. Яд, введенный в кровь, действует сильнее, чем попавший в организм с пищей.
Смерть при отравлении наступает от поражения наиболее важных органов, в первую очередь дыхания, затем пищеварения. При остром отравлении смерть наступает через несколько минут. Слабые яды действуют длительное время, но также могут привести к смерти. Поэтому при отравлении необходимо принимать меры. Прежде всего нужно обвести пострадавшего к врачу. Если это почему-либо быстро сделать нельзя, необходимо вывести ядовитые вещества из организма, промыв желудок большим количеством воды.
4,5(6 оценок)
Ответ:
Echo12
Echo12
24.03.2022
Каждый из нас видит своим другом хорошего человека.
Каким же я вижу настоящего друга?
Прежде всего он должен быть доброжелательным, приветливым, отзывчивым — ведь людям так необходимы добро, бескорыстие, внимание.
Настоящий друг должен быть хозяином своего слова, иметь современные взгля­ды на жизнь, уметь отстаивать свою точку зрения.
Еще я хочу, чтобы человек, с которым я дружу, умел вести себя в обществе и всег­да оставался самим собой.
Я хочу, чтобы он уважал человеческую личность, а потому всегда был снисхо­дительным, мягким и уступчивым.
Качеств, которыми должен обладать настоящий друг, очень много, но прежде всего он должен быть действительно настоящим, а не поддельным.
Настоящий друг тот — который придет на всегда. Народная мудрость гласит: «Не имей сто рублей, а имей сто друзей». И это так точно сказано! Ведь человек, не имеющий друзей, как нищий. Материал с сайта http://iEssay.ru
Г. Державин отметил, что дружба не услуга, за нее не благодарят. Это верно, ведь друг, если он настоящий, никогда не потребует «платы» за свою дружбу.
А настоящий друг — он не на день, не на месяц, очень часто люди проносят свою дружбу через всю жизнь.
4,8(75 оценок)
Новые ответы от MOGZ: Математика
logo
Вход Регистрация
Что ты хочешь узнать?
Спроси Mozg
Открыть лучший ответ