М
Молодежь
К
Компьютеры-и-электроника
Д
Дом-и-сад
С
Стиль-и-уход-за-собой
П
Праздники-и-традиции
Т
Транспорт
П
Путешествия
С
Семейная-жизнь
Ф
Философия-и-религия
Б
Без категории
М
Мир-работы
Х
Хобби-и-рукоделие
И
Искусство-и-развлечения
В
Взаимоотношения
З
Здоровье
К
Кулинария-и-гостеприимство
Ф
Финансы-и-бизнес
П
Питомцы-и-животные
О
Образование
О
Образование-и-коммуникации
tuk33
tuk33
18.02.2021 22:55 •  Математика

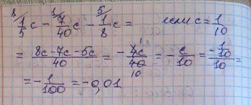
У выражение и найди его значение:
1/5c+7/40c−1/8c, если c=1/10.

👇
Ответ:
Znv250605
Znv250605
18.02.2021

-0,01.

Упростите выражение и найдите его зн.


У выражение и найди его значение: 1/5c+7/40c−1/8c, если c=1/10.
4,4(43 оценок)
Открыть все ответы
Ответ:
dyganovanton
dyganovanton
18.02.2021


585 = 3 * 3 * 5 * 13

360 = 2 * 2 * 2 * 3 * 3 * 5

НОД (585; 360) = 3 * 3 * 5 = 45 - наибольший общий делитель

585 : 45 = 13           360 : 45 = 8


680 = 2 * 2 * 2 * 5 * 17

612 = 2 * 2 * 3 * 3 * 17

НОД (680; 612) = 2 * 2 * 17 = 68 - наибольший общий делитель

680 : 68 = 10              612 : 68 = 9


НОД (а; b) = 3 * 5 * 5 = 75 - наибольший общий делитель

Чтобы найти НОД, нужно разложить данные числа на простые множители и найти произведение их совместных простых множителей, взятых с наименьшим показателем степени.

4,4(78 оценок)
Ответ:
mprodeus99p0812l
mprodeus99p0812l
18.02.2021


585 = 3 * 3 * 5 * 13

360 = 2 * 2 * 2 * 3 * 3 * 5

НОД (585; 360) = 3 * 3 * 5 = 45 - наибольший общий делитель

585 : 45 = 13           360 : 45 = 8


680 = 2 * 2 * 2 * 5 * 17

612 = 2 * 2 * 3 * 3 * 17

НОД (680; 612) = 2 * 2 * 17 = 68 - наибольший общий делитель

680 : 68 = 10              612 : 68 = 9


НОД (а; b) = 3 * 5 * 5 = 75 - наибольший общий делитель

Чтобы найти НОД, нужно разложить данные числа на простые множители и найти произведение их совместных простых множителей, взятых с наименьшим показателем степени.

4,4(79 оценок)
Это интересно:
Новые ответы от MOGZ: Математика
logo
Вход Регистрация
Что ты хочешь узнать?
Спроси Mozg
Открыть лучший ответ