М
Молодежь
К
Компьютеры-и-электроника
Д
Дом-и-сад
С
Стиль-и-уход-за-собой
П
Праздники-и-традиции
Т
Транспорт
П
Путешествия
С
Семейная-жизнь
Ф
Философия-и-религия
Б
Без категории
М
Мир-работы
Х
Хобби-и-рукоделие
И
Искусство-и-развлечения
В
Взаимоотношения
З
Здоровье
К
Кулинария-и-гостеприимство
Ф
Финансы-и-бизнес
П
Питомцы-и-животные
О
Образование
О
Образование-и-коммуникации
Gagatyngerz
Gagatyngerz
22.03.2020 05:16 •  Математика

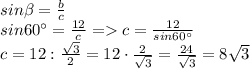
Найди гипотенузу прямоугольного треугольника, если бета= 60° и b = 12 см.​

👇
Ответ:
Margaryaanmag
Margaryaanmag
22.03.2020

sin\beta = \frac{b}{c}\\sin60\° =\frac{12}{c} = c=\frac{12}{sin60\°} \\c = 12:\frac{\sqrt{3} }{2} = 12\cdot \frac{2}{\sqrt{3} } = \frac{24}{\sqrt{3} } = 8\sqrt{3}

ответ: гипотенузу прямоугольного треугольника равна 8√3.

4,6(73 оценок)
Открыть все ответы
Ответ:
zholdashev
zholdashev
22.03.2020
Как правило, лицевая сторона ткани характеризуется более тщательной и эффектной внешней отделкой. Она всегда чище по выработке. Переплетение и рисунки на лицевой стороне ткани всегда более четкие и эффектные. При определении лица и изнанки материала рекомендуем ткань расположить так, чтобы можно было одновременно сравнивать обе ее стороны, кромки ткани при этом следует расположить параллельно друг другу. Лицевая сторона многих тканей (сатина, ластика, молескина и др.) блестящая, а изнаночная — матовая. Для определения лица у бельевой, гладкокрашеной или стриженой ткани следует расположить ее на горизонтальной плоскости и посмотреть на нее против света, на отсвет, т. е. по горизонтали параллельно плоскости ткани. В этом положении можно без труда заметить, что лицевая сторона отличается более гладкой, менее ворсистой поверхностью, от изнанки. Такой же определения обычно применяют для определения интенсивности окраски и блеска на обеих сторонах ткани. В материалах с разрезным ворсом лицом является та сторона, на которой расположен ворс. В тканях с односторонним начесным ворсом он обычно располагается на изнанке. Если начес двухсторонний, то лицевая сторона всегда имеет более густой и лучше подстриженный ворс, чем изнаночная. В смешанных тканях, получаемых из различного сырья, более ценный материал, чаще всего, более приметен на лицевой стороне. Материал, выработанный саржевым переплетением (костюмное трико, саржа подкладочная и др.), на лицевой стороне имеет диагональ (рубчик) более выраженный, более выпуклый. Если смотреть на ткань по направлению основы, полоски поднимаются слева вверх направо. В набивных тканях рисунок наноситься на лицевую сторону, так как он более яркий и четкий. Для определения лицевой стороны гладкокрашеной ткани необходимо обратить внимание не проколы около кромок, которые выпуклостью обращены на лицевую сторону. Ведущим отличительным признаком лица суконных тканей являются цветные нити в кромке, которые на лицевой стороне всегда видны более отчетливо. При различной плотности материалы по основе и утку, как правило, на лицевой стороне преобладают перекрытия более плотной системы. Шерстяные ткани в рулоне обычно свернуты лицевой стороной вовнутрь, шелковые - лицом наружу. Ткани, сложенные сгибом, расположены лицевой стороной вовнутрь. В редких случаях рекомендуется использовать обе стороны ткани (например, креп-сатин - эффектная ткань из натурального или искусственного шелка, которая с одной стороны матовая, с другой блестящая). Определение лицевой и изнаночной стороны. Различают односторонние и двухсторонние ткани. Помните, что определение лицевой и изнаночной стороны играет важную роль при раскрое одежды. В односторонних тканях лицевая и изнаночная стороны резко отличаются друг от друга. В двухсторонних тканях эта разница практически незаметна, т.е. и та и другая стороны могут использоваться при раскрое. Чтобы правильно определить стороны ткани, ее следует положить так, чтобы обе стороны находились рядом, а их кромки были расположены параллельно друг другу. Ниже перечислены характерные признаки для определения стороны ткани: - лицевая сторона более гладкая и менее ворсистая; - лицо ткани более чисто и лишено всевозможных дефектов; - ткани, имеющие ворс с обоих сторон, более ворсисты (более густой ворс) с лицевой стороны; - ткацкий рисунок с лицевой стороны более отчетливый и рельефный; - печатный рисунок с лицевой стороны имеет более яркую окраску; - более ясно выглядят цветные нити на лицевой стороне шерстяных тканей; - некоторые ткани по кромке отверстия выступают на лицевую сторону; - более выпуклый рубчик на лицевой стороне тканей с диагональным рубцом; - в смешанных тканях более дорогие нити выходят на лицевую сторону. IV Лабораторно – практическая работа № 4 «Определение лицевой и изнаночной сторон в тканях» 1. Определить лицевую и изнаночную стороны в тканях по изученным признакам. V. Проверка выполненной работы и оценка её качества. VI. Взаимопроверка знаний по теме «Материаловедение» (тест). Тест по теме «Лицевая и изнаночная стороны ткани. Свойства ткани» 1. Лицевая и изнаночная сторона существует А) у всех видов тканей Б) не у всех видов тканей 2. Отбеливание, крашение, печатание рисунка на ткани происходит при А) прядильном производстве Б) отделочном производстве ткани 3. Проколы у кромки ткани более выпуклые А) на лицевой стороне Б) на изнаночной стороне 4. Печатный рисунок на ткани более яркий А) на изнаночной стороне ткани Б) на лицевой стороне ткани 5. Мелкие дефекты ткани выводят при ткацком производстве А) на лицевую сторону ткани Б) на изнаночную сторону ткани 
4,4(99 оценок)
Ответ:
csnoleg
csnoleg
22.03.2020
1) Состав моей семьи в настоящее время
2) Мои прародители: прабабушки - Мария Ксенофонтовна и Аглая Серафимовна, прадедушки - Иван Данилович и Поликарп Игнатьевич
3) Родовая ветвь Марии Ксенофонтовны
4) Родовая ветвь Аглаи Серафимовны
5) Родовая ветвь Ивана Даниловича
6) Родовая ветвь Поликарпа Игнатьевича
7) Мои бабушки - Наталья Саввишна и Галина Петровна
8) Родовая ветвь Натальи Саввишны
9) Родовая ветвь Галины Петровны
10) Мои дедушки - Игорь Степанович и Сергей Леонидович
11) Родовая ветвь Игоря Степановича
12) Родовая ветвь Сергея Леонидовича
13) Моя семья - родители и я
4,4(5 оценок)
Новые ответы от MOGZ: Математика
logo
Вход Регистрация
Что ты хочешь узнать?
Спроси Mozg
Открыть лучший ответ