М
Молодежь
К
Компьютеры-и-электроника
Д
Дом-и-сад
С
Стиль-и-уход-за-собой
П
Праздники-и-традиции
Т
Транспорт
П
Путешествия
С
Семейная-жизнь
Ф
Философия-и-религия
Б
Без категории
М
Мир-работы
Х
Хобби-и-рукоделие
И
Искусство-и-развлечения
В
Взаимоотношения
З
Здоровье
К
Кулинария-и-гостеприимство
Ф
Финансы-и-бизнес
П
Питомцы-и-животные
О
Образование
О
Образование-и-коммуникации
MashaYamg
MashaYamg
30.12.2021 07:51 •  Математика

(18+23*z)-127=98 как ришыть. Заранее благодарю.

👇
Ответ:
Leoger
Leoger
30.12.2021

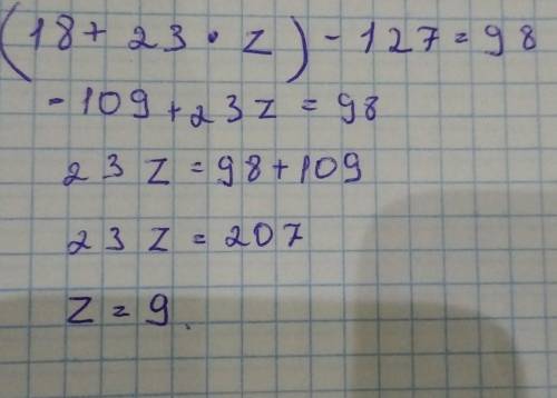
(18+23z)-127=98

18+23z-127=98

23z = 98-18+127

23z = 207

z = 207:23

z = 9

ответ: 9

4,8(14 оценок)
Ответ:
Pmoshnek
Pmoshnek
30.12.2021

Пошаговое объяснение:

надеюсь правильно решила удачи вам


(18+23*z)-127=98 как ришыть. Заранее благодарю.
4,8(91 оценок)
Открыть все ответы
Ответ:

M(0; -8·√3; 8)

Пошаговое объяснение:

Пусть r радиус-вектор точки M(x; y; z). По условию |r| = 16.

Радиус-вектор точки M(x; y; z) составляет с осью OX угол 90° и поэтому находится полностью на плоскости OYZ и поэтому x=0.

Радиус-вектор точки M составляет с осью OY угол 150° (этот угол считается против часовой стрелки), что означает y<0 и составляет с осью OY угол по часовой стрелки 180°-150°=30° и составляет с осью OZ угол против часовой стрелки 180°-30°=60°. Тогда проекция радиуса-вектора на ось OY равна:

-y= |r|· cos30°= 16·√3/2=8·√3.

а проекция радиуса-вектора на ось OZ равна:

z= |r|· cos60°= 16·1/2=8.

4,4(10 оценок)
Ответ:

Даны координаты вершин тетраэдра АВСD :

A(0, 0, 0), B(1, 1, 1) , C(1, 2, 3, D(1, 3, 6).

А) Площадь основания АВС.

Находим векторы АВ и АС.

АВ = (1; 1; 1), АС = (1; 2; 3).

Их векторное произведение равно.

i             j          k |          i          j

1           1          1 |          1         1

1           2          3 |          1          2 = 3i + 1j + 2k - 3j - 2i - 1k = 1i - 2j + 1k.

Нормальный вектор к плоскости АВС равен (1; -2; 1).

Площадь АВС равна половине модуля векторного произведения:

S = (1/2)*√(1 + 4 + 1) = √6/2 ≈ 1,225.

Б) Уравнение высоты тетраэдра DК.

Её направляющий вектор найден - он равен нормальному вектору плоскости АВС(1; -2; 1).

Используем координаты точки D.

Уравнение прямой DК: (x – 1)/1 = (y – 3)/(-2) = (z – 6)/1.

В) Уравнение прямой, проходящей через точку С параллельно DК.

Её направляющий вектор найден равен  направляющему вектору высоты DК.

Осталось подставить координаты точки С.

Уравнение прямой СР: (x – 1)/1 = (y – 2)/(-2) = (z – 3)/1.

Г) Расстояние от точки С до грани ABD.

Пусть точка М – проекция точки С на плоскость ABD.

Находим векторы АВ и АD.

АВ = (1; 1; 1), АD = (1; 3; 6).

Их векторное произведение равно.

i             j          k |          i          j

1           1          1 |          1         1

1           3          6 |          1         3 = 6i + 1j + 3k - 6j - 3i - 1k = 3i - 5j + 2k.

Площадь грани ABD равна половине модуля полученного векторного произведения.

S(ABD) = (1/2)*√(9 + 25 + 4) = (1/2)√38.

Полученный вектор (3; -5; 2) – это вектор нормали к плоскости АВD, то есть высоты СМ.

Получаем уравнение высоты СМ: (x – 1)/3 = (y – 2)/(-5) = (z – 3)/2.

Находим объём пирамиды как (1/6) модуля смешанного произведения векторов АВ и АС (1; -2; 1) на AD (1; 3; 6)..

V = (1/6)*(1 –6 + 6) = (1/6) куб.ед.

Тогда длина высоты СМ равна:

h(CM) = 3V/S(ABD) = (3*(1/6))/( (1/2)√38) =1/√38 = √38/38 ≈ 0,162.

Д) Уравнение плоскости, проходящей через точки В и С перпендикулярно плоскости АВС.

Если через точки В и С провести прямые с направляющим вектором как у высоты DK, то получим 2 параллельные прямые, перпендикулярные плоскости АВС.

Одна прямая уже известна – это СР: (x – 1)/1 = (y – 2)/(-2) = (z – 3)/1.

Аналогична прямая через точку В – это ВТ: (x – 1)/1 = (y – 1)/(-2) = (z – 1)/1.  

Найдём точку на прямой СР. Для этого уравнение прямой представим в параметрическом виде.

СР: (x – 1)/1 = (y – 2)/(-2) = (z – 3)/1 = t.

x = t + 1,

y = -2t + 2,

z = t + 3.

Примем t = 1, тогда  x = 2, y = 0, z = 4. Пусть это координаты точки Р.

Имеем 3 точки  В, С, и Р, через которые проведём искомую плоскость.

x – x1            y – y1          z – z1

x2 – x1          y2 – y1        z2 – z1

x3 – x1          y3 – y1        z2 – z1.

Подставим координаты точек.

x -1               y – 1            z – 1 |       x – 1           y – 1

1 – 1             2 – 1            3 – 1 |       1 – 1           2 – 1

2 – 1             0 – 1            4 – 1 |        2 – 1          0 – 1

x -1               y – 1            z – 1 |       x – 1           y – 1

 0                     1                2     |           0                1

 1                  – 1                3     |           1             – 1 =

= 3(x – 1) + 2(y – 1) – 0 – 0 + 2(x – 1) – 1(z – 1) = 3x – 3 + 2y – 2 + 2x – 2 – 1z + 1 =

= 5x + 2y - 1z – 6=0.

Е) Длина ребра BD.

Вектор BD = (0; 2; 5). Его модуль (длина) равен √(0² + 2² + 5²) = √29 ≈ 5,385.

Ж) Объём пирамиды найден в пункте В.

V = (1/6) куб.ед.

З) Угол при вершине С грани BCD.

Находим векторы:

СВ = (0; -1; -2), модуль равен √(0² + (-1)² + (-2)²) = √5.

CD = (0; 1; 3), модуль равен √(0² + 1² + 3²) = √10.

Их скалярное произведение равно:

СВ х CD = 0 – 1 – 6 = -7.

cos C = -7/(√5*√10) = -7/√50 ≈ -0,989949.

Угол С равен arc cos (-0,989949) = 2,999696 радиан или 171,8699 градуса.

И) Угол между ребром CD и плоскостью АВС.

Вектор CD = (0; 1; 3), нормальный вектор к плоскости АВС равен (1; -2; 1) (найдены ранее).

угол между этой прямой и плоскостью

sin φ =  | A • l + B • m + C • n |  

√(A² + B² + C²) • √(l² + m² + n²)

Направляющий вектор прямой имеет вид: s = {l; m; n}.

Вектор нормали плоскости имеет вид: Ax + By + Cz + D = 0.

sin φ = (1*0 – 2*1 + 1*3)/( √6*√10) = 1/√60 ≈ 0,129.

φ = arc sin (1/√60) = 0,129 радиан или 7,418 градуса.


Даны координаты вершин тетраэдра авсd
4,8(88 оценок)
Новые ответы от MOGZ: Математика
logo
Вход Регистрация
Что ты хочешь узнать?
Спроси Mozg
Открыть лучший ответ