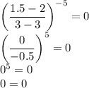
1.5
Пошаговое объяснение:

Проверка:
Если дробь сначала перевернуть:

Если дробь сначала не переворачивать:

В обоих случаях получили верное равенство.
Значит x=1.5 является корнем уравнения.
ответ: 0,3.
Двое человек могут быть отправлены в лагерь пятью выбираем первого человека и четырьмя - второго, да еще делим на два, так как пара "Владимир и Николай" - это тоже самое, что и пара "Николай - Владимир"):
ОВ, ОН, ОА, ОМ, ВН, ВА, ВМ, НА, НМ, АМ.
В выделенных случаях в лагерь попадают любо Анна, либо Марина, либо они обе. Эти случаи нам не подходят.
Также, все случаи, когда Анна и Марина не попали в лагерь, это когда в лагерь попали двое из трех мальчиков, таких пар три. Значит, вероятность равна 3/10 = 0,3.
Это же равенство можем записать так ((2х-3)/(х-2))⁵=0
Дробь равна нулю, если х=1.5, х≠2