М
Молодежь
К
Компьютеры-и-электроника
Д
Дом-и-сад
С
Стиль-и-уход-за-собой
П
Праздники-и-традиции
Т
Транспорт
П
Путешествия
С
Семейная-жизнь
Ф
Философия-и-религия
Б
Без категории
М
Мир-работы
Х
Хобби-и-рукоделие
И
Искусство-и-развлечения
В
Взаимоотношения
З
Здоровье
К
Кулинария-и-гостеприимство
Ф
Финансы-и-бизнес
П
Питомцы-и-животные
О
Образование
О
Образование-и-коммуникации
plz11POMOGITE11plz
plz11POMOGITE11plz
31.10.2021 11:27 •  Математика

это решить, прям капец как надо
В первом там нужно сравнить​

👇
Ответ:

держи

Пошаговое объяснение:


это решить, прям капец как надо В первом там нужно сравнить​
4,8(6 оценок)
Ответ:
Juylia555
Juylia555
31.10.2021

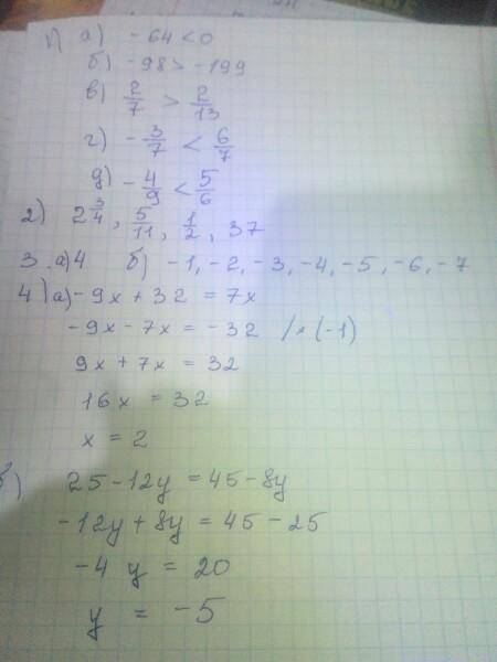
1.a)0 >64, b)-98>-199,в)2/7>2/13,г)6/7>3/7

2.-5/11, 1/2, 2.3/4, 37

3.a)-3,-2,-1,0,1,2,3,4;b)-7,-6,-5,-4,-3,-2,-1,0

4.а)-9x -7x=-32

-16x=-32

x=2

b)-12y+8y=45-25

-4y=20

y=-5

4,6(59 оценок)
Открыть все ответы
Ответ:
khamidova3053
khamidova3053
31.10.2021

S = a · b - формула площади прямоугольника

96 = 2 · 2 · 2 · 2 · 2 · 3 - простые множители числа

Все делители: 1, 2, 3, 4, 6, 8, 12, 16, 24, 32, 48, 96.

(а=1, b=96); (a=2, b=48); (a=3, b=32); (a=4, b=24); (a=6, b=16); (a=8, b=12).

- - - - - - - - - - - -

140 = 2 · 2 · 5 · 7 - простые множители числа

Все делители: 1, 2, 4, 5, 7, 10, 14, 20, 28, 35, 70, 140.

(a=1, b=140); (a=2, b=70); (a=4, b=35); (a=5, b=28); (a=7, b=20); (a=10, b=14).

- - - - - - - - - - - -

350 = 2 · 5 · 5 · 7 - простые множители числа

Все делители: 1, 2, 5, 7, 10, 14, 25, 35, 50, 70, 175, 350.

(a=1, b=350); (a=2, b=175); (a=5, b=70); (a=7, b=50); (a=10, b=35); (a=14, b=25).

- - - - - - - - - - - -

61 - простое число, имеет только два делителя: само число и единицу.

а = 1 - ширина, b = 61 - длина, S = 1 · 61 = 61 м² - площадь

4,6(44 оценок)
Ответ:

S = a · b - формула площади прямоугольника

96 = 2 · 2 · 2 · 2 · 2 · 3 - простые множители числа

Все делители: 1, 2, 3, 4, 6, 8, 12, 16, 24, 32, 48, 96.

(а=1, b=96); (a=2, b=48); (a=3, b=32); (a=4, b=24); (a=6, b=16); (a=8, b=12).

- - - - - - - - - - - -

140 = 2 · 2 · 5 · 7 - простые множители числа

Все делители: 1, 2, 4, 5, 7, 10, 14, 20, 28, 35, 70, 140.

(a=1, b=140); (a=2, b=70); (a=4, b=35); (a=5, b=28); (a=7, b=20); (a=10, b=14).

- - - - - - - - - - - -

350 = 2 · 5 · 5 · 7 - простые множители числа

Все делители: 1, 2, 5, 7, 10, 14, 25, 35, 50, 70, 175, 350.

(a=1, b=350); (a=2, b=175); (a=5, b=70); (a=7, b=50); (a=10, b=35); (a=14, b=25).

- - - - - - - - - - - -

61 - простое число, имеет только два делителя: само число и единицу.

а = 1 - ширина, b = 61 - длина, S = 1 · 61 = 61 м² - площадь

4,5(63 оценок)
Это интересно:
Новые ответы от MOGZ: Математика
logo
Вход Регистрация
Что ты хочешь узнать?
Спроси Mozg
Открыть лучший ответ