М
Молодежь
К
Компьютеры-и-электроника
Д
Дом-и-сад
С
Стиль-и-уход-за-собой
П
Праздники-и-традиции
Т
Транспорт
П
Путешествия
С
Семейная-жизнь
Ф
Философия-и-религия
Б
Без категории
М
Мир-работы
Х
Хобби-и-рукоделие
И
Искусство-и-развлечения
В
Взаимоотношения
З
Здоровье
К
Кулинария-и-гостеприимство
Ф
Финансы-и-бизнес
П
Питомцы-и-животные
О
Образование
О
Образование-и-коммуникации
dawlatowaalbina
dawlatowaalbina
15.06.2020 09:56 •  Математика

1.Найти производную: x^2 -sinx
2.Найти производную: x^4- cosx
3.Найти производную: (x^5- 2) · (x +3)
4.Найти производную: (2х-6) · (5х-4)
5.Найти производную: х -e^x
6.Найти производную: 2^x-e^x
7.Найти производную: 3x\x+2
8.Найти производную: 2x+5\7x-1
9.Найти производную: x\sinx
10.Найти производную: lnx\x^3
11.Найти производную за

👇
Ответ:
dradya
dradya
15.06.2020

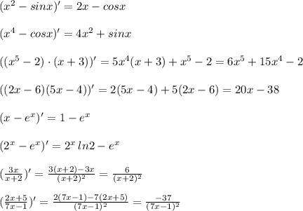
(x^2-sinx)'=2x-cosx\\\\(x^4-cosx)'=4x^2+sinx\\\\((x^5-2)\cdot (x+3))'=5x^4(x+3)+x^5-2=6x^5+15x^4-2\\\\((2x-6)(5x-4))'=2(5x-4)+5(2x-6)=20x-38\\\\(x-e^{x})'=1-e^{x}\\\\(2^{x}-e^{x})'=2^{x}\, ln2-e^{x}\\\\(\frac{3x}{x+2})'=\frac{3(x+2)-3x}{(x+2)^2}=\frac{6}{(x+2)^2} \\\\(\frac{2x+5}{7x-1})'=\frac{2(7x-1)-7(2x+5)}{(7x-1)^2}=\frac{-37}{(7x-1)^2}

(\frac{x}{sinx})'=\frac{sinx-x\cdot cosx}{sin^2x}\\\\(\frac{lnx}{x^3})'=\frac{\frac{1}{x}\cdot x^3-3x^2\cdot lnx}{x^4}=\frac{1-3\, lnx}{x^2}\\\\(\frac{x^7}{lnx})'=\frac{7x^6\cdot lnx-x^7\cdot \frac{1}{x}}{ln^2x}=\frac{x^6\, (7\, lnx-1)}{ln^2x}

4,4(32 оценок)
Открыть все ответы
Ответ:
NoNameRu1
NoNameRu1
15.06.2020
Задать вопрос
Войти
Хочешь увидеть свое фото тут?
другим с учебой и мы сделаем тебя популярным
Подробнее
Заходи в раздел «Нужен ответ» и отвечайна любые вопросы
Следи за рейтингом — тут
Не мухлюй! Пиши ответы и объяснения сам, своими словами, пользуйся своей головой. Копировать с других сайтов запрещено
31 мая мы подведем итоги. Фото 5 самых лучших будут размещены на месте этого банера + ссылка на твой ВК (по желанию).
5 млн человек увидят, что ты самый крутой
ответить на вопросы
24АнонимМатематика19 апреля 22:49
Магазин продал 784 кг яблок,груш и слив.Яблок было продано в 3 раза больше,чем груш,а сливы составляли 5/28 всех проданных
фруктов.Сколько денег выручил магазин за проданные яблоки,если килограмм стоил 27 рублей решить арефметически !!

ответ или решение1

Условие задачи:
всего продано - 784 кг,
яблок - ? кг, в 3 раза больше, чем груш, ? руб.
груш - ? кг,
слив - 5/28 от всех проданных фруктов.
Решение:
1) вычислим количество проданных слив:
784:28·5 = 140 кг;
2) определим количество проданных яблок и груш:
784 - 140 = 644 кг (в это количество входят 1 часть груш и 3 части яблок, всего 4 части);
3) рассчитаем количество проданных груш:
644:4 = 161 кг;
4) количество проданных яблок:
161·3 = 483 кг;
5) стоимость яблок:
483·27 = 13041 руб.
ответ: 13041 рубль.
4,8(17 оценок)
Ответ:
yMHNk1
yMHNk1
15.06.2020
Это значит, что к моменту, когда велосипедист догнал пешехода, велосипедисту успел преодолеть путь на 2,1 км больше, чем пешеходу. Это произошло потому, что скорость велосипедиста в 3,4 раза больше, чем скорость пешехода.

Пусть х - скорость пешехода.
Тогда 3,4х - скорость велосипедиста.
0,25 • 3,4х - путь, пройденный велосипедистом.
0,25 • х - путь пройденный пешеходом.
Уравнение:
0,25•3,4х - 0,25•х = 2,1
0,85х - 0,25 х = 2,1
0,6х = 2,1
х = 2,1:0,6
х= 3,5 км/ч - скорость пешехода.
3,4х = 3,4•3,5=11,9 км/ч - скорость велосипедиста.

Проверка:
1) 3,5•0,25=0,875 км пешеход.
2) 11,9•0,25=2,975 км велосипедист.
3) 2,975-0,875=2,1 км было между велосипедистом и пешеходом в самом начале
4,5(75 оценок)
Это интересно:
Новые ответы от MOGZ: Математика
logo
Вход Регистрация
Что ты хочешь узнать?
Спроси Mozg
Открыть лучший ответ