М
Молодежь
К
Компьютеры-и-электроника
Д
Дом-и-сад
С
Стиль-и-уход-за-собой
П
Праздники-и-традиции
Т
Транспорт
П
Путешествия
С
Семейная-жизнь
Ф
Философия-и-религия
Б
Без категории
М
Мир-работы
Х
Хобби-и-рукоделие
И
Искусство-и-развлечения
В
Взаимоотношения
З
Здоровье
К
Кулинария-и-гостеприимство
Ф
Финансы-и-бизнес
П
Питомцы-и-животные
О
Образование
О
Образование-и-коммуникации
Eeerok33
Eeerok33
31.03.2020 04:17 •  Математика

Найти площадь фигуры ограниченной параболой у=х^2, прямой y=2+x и осью Ох

👇
Ответ:
anna26102015
anna26102015
31.03.2020

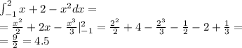
Найдём точки пересечения функция которые будут пределами интегрирования:

{x}^{2} = x + 2 \\ {x}^{2} - x - 2 = 0 \\ x_{1} = - 1 \\ x_{2} = 2

Находим площадь:

\int_{ - 1}^{2}x + 2 - {x}^{2} dx = \\ = \frac{ {x}^{2} }{2} + 2x - \frac{ {x}^{3} }{3} |_{ - 1}^{2} = \frac{ {2}^{2} }{2} + 4 - \frac{ {2}^{3} }{3} - \frac{1}{2} - 2 + \frac{1}{3} = \\ = \frac{9}{2} = 4.5

4,8(28 оценок)
Открыть все ответы
Ответ:
Юля5900274
Юля5900274
31.03.2020
7 мячиков и 7 ракеток стоят 5551 рубль.
Один комплект составляют 1 мячик и 1 ракетка, то есть это одна целая часть.
У нас получилось 7 комплектов то есть 7 частей.
5551:7=793 рубля стоит 1 комплект то есть одна ракетка и один мячик.
5 мячиков и 3 ракетки 3 комплекта и два мячика.
793*3=2379 рублей стоят 3 комплекта.
Теперь надо найти стоимость 2 мячей.
2585-2379=206 рублей стоят два мяча.
206:2=103 рубля стоит 1 мячик.
793-103=690 рублей стоит 1 ракетка.
103*3=309 рублей стоят 3 мячика.
690*5=3450 рублей стоят 5 ракеток.
3450+309=3759 рублей стоят три мячика и пять ракеток
ответ:3759
4,5(87 оценок)
Ответ:
аида206
аида206
31.03.2020
7 мячиков и 7 ракеток стоят 5551 рубль.
Один комплект составляют 1 мячик и 1 ракетка, то есть это одна целая часть.
У нас получилось 7 комплектов то есть 7 частей.
5551:7=793 рубля стоит 1 комплект то есть одна ракетка и один мячик.
5 мячиков и 3 ракетки 3 комплекта и два мячика.
793*3=2379 рублей стоят 3 комплекта.
Теперь надо найти стоимость 2 мячей.
2585-2379=206 рублей стоят два мяча.
206:2=103 рубля стоит 1 мячик.
793-103=690 рублей стоит 1 ракетка.
103*3=309 рублей стоят 3 мячика.
690*5=3450 рублей стоят 5 ракеток.
3450+309=3759 рублей стоят три мячика и пять ракеток
ответ:3759
4,8(22 оценок)
Новые ответы от MOGZ: Математика
logo
Вход Регистрация
Что ты хочешь узнать?
Спроси Mozg
Открыть лучший ответ