М
Молодежь
К
Компьютеры-и-электроника
Д
Дом-и-сад
С
Стиль-и-уход-за-собой
П
Праздники-и-традиции
Т
Транспорт
П
Путешествия
С
Семейная-жизнь
Ф
Философия-и-религия
Б
Без категории
М
Мир-работы
Х
Хобби-и-рукоделие
И
Искусство-и-развлечения
В
Взаимоотношения
З
Здоровье
К
Кулинария-и-гостеприимство
Ф
Финансы-и-бизнес
П
Питомцы-и-животные
О
Образование
О
Образование-и-коммуникации
AlenaSmaychkov222
AlenaSmaychkov222
26.09.2021 02:23 •  Математика

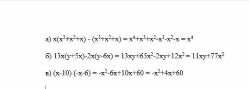
1. Выполните умножение, раскройте скобки, приведите подобные
слагаемые:

👇
Ответ:
Askmay
Askmay
26.09.2021

вроде так.... . . .  . . . .


1. Выполните умножение, раскройте скобки, приведите подобные слагаемые:
4,5(16 оценок)
Открыть все ответы
Ответ:
snejanas1
snejanas1
26.09.2021

Пошаговое объяснение:

. Постройте график функции y=f(x).

Гипербола, полученная сдвигом графика у= на 1 вверх по оу. у(-2)=0,5 ;у(-1)=1 ;у(-2)=0,5 ;у(2)=-0,5 ;у(1)=-1 ;у(2)=-0,5

2. f '(x)= ( ) ' = .

3. Уравнения касательной y =к (x −x₀)+f (x₀) .

Прямая y= , к=1\4.

Найдем точку касания

(x-2)²=0 , x=2.

f (2)=-1\2+1=0,5

y =0,25* (x −2)+0,5

у=0,25х

Вторая касательная пройдет через х=-2

f (-2)=1\2+1=1,5

y =0,25* (x −2)+1,5

у=0,25х+1

4. Наименьшее значение функции у'=(x−f(x) ) '=(х)' =

=1 -= .

у'=0 , ,х=1 , х=-1.

На промежутке [1/2;∞) лежит только х=1

у'[1\2] - - - - -(1)+ + + + +

y ↓ ↑

x=1 точка минимума.

Наименьшее значение может быть при х=1\2 или х=1:

у(1\2) = .

у(1)= 1+1-1=1.

Наименьшее значение функции х-f(x) равно -0,5

4,8(2 оценок)
Ответ:
wigler
wigler
26.09.2021

∠B = ∠D = 132°

∠A = ∠C = 48°.

Пошаговое объяснение:

Параллелограмм - это четырехугольник, у которого противоположные стороны попарно параллельны.

В параллелограмме противолежащие углы равны.

По условию сумма двух углов в параллелограмме = 264°.

Сумма двух углов параллелограмма, прилежащих к одной стороне = 180° (так это внутренние накрест лежащие углы при параллельных прямых и секущей).

Значит 264° - это сумма двух противолежащих углов.

В параллелограмме ABCD:

∠B + ∠D = 264°   и   ∠B = ∠D   ⇒   ∠B = ∠D = 264° :2 = 132°

∠A = ∠C = 180° - 132° = 48°.


Знайдить куты палалелограму якщо сума вдох из них 264​
4,8(37 оценок)
Это интересно:
Новые ответы от MOGZ: Математика
logo
Вход Регистрация
Что ты хочешь узнать?
Спроси Mozg
Открыть лучший ответ