М
Молодежь
К
Компьютеры-и-электроника
Д
Дом-и-сад
С
Стиль-и-уход-за-собой
П
Праздники-и-традиции
Т
Транспорт
П
Путешествия
С
Семейная-жизнь
Ф
Философия-и-религия
Б
Без категории
М
Мир-работы
Х
Хобби-и-рукоделие
И
Искусство-и-развлечения
В
Взаимоотношения
З
Здоровье
К
Кулинария-и-гостеприимство
Ф
Финансы-и-бизнес
П
Питомцы-и-животные
О
Образование
О
Образование-и-коммуникации
MilanaKnyazeva230899
MilanaKnyazeva230899
17.03.2022 20:31 •  Математика

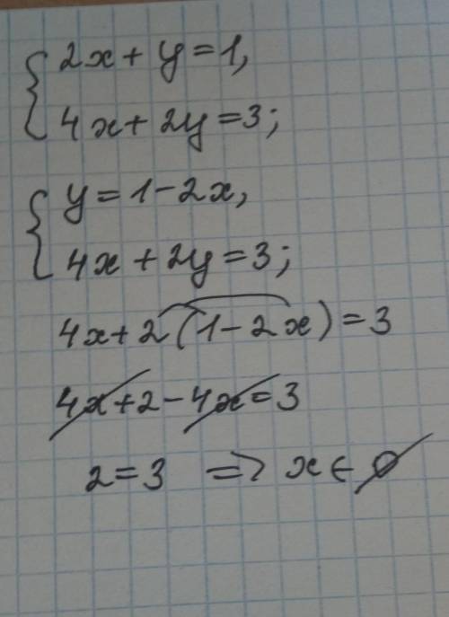
реши графически систему уравнений {2x+y=1 4x+2y=3

👇
Ответ:
kilernosok
kilernosok
17.03.2022

Надеюсь, всё понятно..


реши графически систему уравнений {2x+y=1 4x+2y=3
4,6(89 оценок)
Открыть все ответы
Ответ:
vasilevamarin
vasilevamarin
17.03.2022
Марс - четвёртая планета Солнечной системы. На небе, как и все внешние планеты, он виден лучше всего в периоды противостояний, которые повторяются каждые 26 месяцев. Однако, не все противостояния одинаковы. Орбита Марса довольно сильно вытянута, отчего и расстояния до него в противостояния меняются значительно. Видимые диаметры планеты могут соотноситься как 1 к 2 в два разных противостояния, соотношение яркостей - ещё больше. Самые тесные сближения 3-й и 4-й планет называются великими противостояниями. Они повторяются каждые 15-17 лет.
4,6(74 оценок)
Ответ:
yuliyabondar2
yuliyabondar2
17.03.2022
Лучше всего сделать о Земле. Рассказать про ее внешние и внутреннние оболочки.Атмосфера.Воздушная оболочка нашей планеты."Атмос"-пар "сфера"-пар. Состав атмосферы изменяется с высотой. Самый нижний слой до 18 км. Следующий слой примерно 60 км. А последний слой безвоздушное пространство( космос). Литосфера- каменная оболочка Земли. "литос" от греч. камень. Литосферу геологи называют земной корой. Гидросфера-водная оболочка. Биосфера- сфера жизни. Расскажи про ось, про экватор, про смену дня и ночи,времен года. Я еще напишу про шарообразную форму Земли. В начале XVI в. Фернан Магеллан совершил кругосветное путешествие и доказал ,что Земля имеет шарообразную форму. Масса Земли 6 000 000 000 000 000 000 000 000 кг, расстояние от Земли до Солнца 150 000 000 км. Окружн. 40 000 км.   Взяла материал из своей тетради по природоведению. Покопайте еще в книгах или в интернете.
4,4(94 оценок)
Новые ответы от MOGZ: Математика
logo
Вход Регистрация
Что ты хочешь узнать?
Спроси Mozg
Открыть лучший ответ