М
Молодежь
К
Компьютеры-и-электроника
Д
Дом-и-сад
С
Стиль-и-уход-за-собой
П
Праздники-и-традиции
Т
Транспорт
П
Путешествия
С
Семейная-жизнь
Ф
Философия-и-религия
Б
Без категории
М
Мир-работы
Х
Хобби-и-рукоделие
И
Искусство-и-развлечения
В
Взаимоотношения
З
Здоровье
К
Кулинария-и-гостеприимство
Ф
Финансы-и-бизнес
П
Питомцы-и-животные
О
Образование
О
Образование-и-коммуникации
йАнанасик11
йАнанасик11
13.05.2021 18:36 •  Математика

Четыре пятых разделить на восемь и умножить на пятнадцать​

👇
Ответ:
sladkaezhka19
sladkaezhka19
13.05.2021

Пошаговое объяснение:


Четыре пятых разделить на восемь и умножить на пятнадцать​
4,4(30 оценок)
Ответ:
LLarь
LLarь
13.05.2021

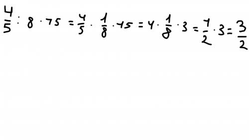
Извиняюсь что немного криво. Если появятся затруднения то пишите


Четыре пятых разделить на восемь и умножить на пятнадцать​
4,5(83 оценок)
Открыть все ответы
Ответ:
PROMES
PROMES
13.05.2021

Возьмём эти неизвестные числа за x, тогда получим двойное неравенство:

10,53 < x < 10,55

Теперь, можем написать, что x = 10,54, но это одно число, необходимо найти еще 2.

Вспомним, что помимо сотых частей есть тысячные, десятитысячные, стотысячные и т.д. Чтобы в числах 10,53 и 10,55 сотые части превратить в тысячные, нужно дописать к ним по нулю, получим двойное неравенство:

10,530 < x < 10,550

Теперь найти значение x легко;

, что значит, что x может быть равен 10,531; 10,532; 10,533; 10,534; 10,535; 10,536; 10,537; 10,538; 10,539; 10,541; 10,542; 10,543; 10,544; 10,545; 10,546; 10,547; 10,548; 10,549.

По условию, выпишем только три любые числа, пусть это будут 10,533; 10,534; 10,535.

ответ: 10,533; 10,534; 10,535.

4,8(19 оценок)
Ответ:
Molina121212
Molina121212
13.05.2021

Пошаговое объяснение:

Так. Сначала смешанную дробь переводи в неправильную (целое число умножаешь на знаменатель, а потом прибавляешь числитель).

После этого обрати внимание на деление. Если такой знак есть, то неправильную дробь нужно перевернуть (числитель и знаменатель поменять местами).

Ну а дальше...

1) 13/3 * 5 = 65/3

2) 12/5 * 10 = 24

3) 4/15 * 7/5 = 28/75

4) Сложение 1-о и 2-о действий

5) 4-е действие отнимаем 3-е

Но тут обрати внимание, тут к общему знаменателю нужно приводить. Особенно в последних 2-х действиях.

4,6(64 оценок)
Это интересно:
Новые ответы от MOGZ: Математика
logo
Вход Регистрация
Что ты хочешь узнать?
Спроси Mozg
Открыть лучший ответ