М
Молодежь
К
Компьютеры-и-электроника
Д
Дом-и-сад
С
Стиль-и-уход-за-собой
П
Праздники-и-традиции
Т
Транспорт
П
Путешествия
С
Семейная-жизнь
Ф
Философия-и-религия
Б
Без категории
М
Мир-работы
Х
Хобби-и-рукоделие
И
Искусство-и-развлечения
В
Взаимоотношения
З
Здоровье
К
Кулинария-и-гостеприимство
Ф
Финансы-и-бизнес
П
Питомцы-и-животные
О
Образование
О
Образование-и-коммуникации
danilabarsap02au2
danilabarsap02au2
22.08.2021 22:22 •  Математика

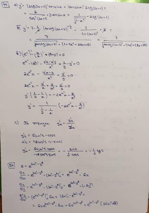
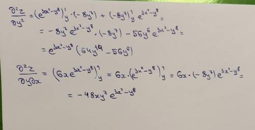
Найти производную и частные производные (54 номер)

👇
Ответ:
lermolen
lermolen
22.08.2021

решение на фотографиях


Найти производную и частные производные (54 номер)
Найти производную и частные производные (54 номер)
4,4(23 оценок)
Открыть все ответы
Ответ:
Орловская область обладает хорошо развитой речной сетью. Однако большая часть орловских рек - это либо истоки крупных рек, либо их небольшие притоки. На территории Орловской области находятся истоки крупнейших рек Европейской части России - Оки, Дона и Днепра. Поэтому Орловская область представляет собой географический центр питания важнейших речных систем Европейской части России. На её территории формируется поверхностный сток рек бассейна Волги. Водосборы рек разделены двумя водораздельными участками. Первый проходит от города Малоархангельска на север к деревне Алексеевке, затем на северо-восток к станции Верховье и к деревне Паньково. Этот всхолмлённый участок является водоразделом между реками Окой, Зушей с ее притоком Неручь и рекой Сосной с притоком рекой Труды. В центральной части области расположены возвышенные холмы, представляющие собой водораздел рек Оки и Зуши, который в своей южной части в районе Малоархангельска соединяется с водоразделами Оки и Сосны, Оки и Десны. Второй водораздел между бассейнами рек Оки и Десны располагается в юго-западной части. Бассейн Оки занимает 60% территории области, в него входят 1377 рек и ручьёв. Донской бассейн включает 529 водотоков, Днепровский - 195.Водный фонд области насчитывает свыше 2100 водотоков общей протяженностью 9154 км, в том числе - около 180 водотоков длиной 10 и более километров и с общей протяженностью свыше 4000 км.Крупные реки Орловской области - Ока и Зуша используются для получения электроэнергии. На р. Оке работает гидроэлектростанция Шаховская мощностью 510 кВт, на реке Зуше - Новосильская (210 кВт) и Лыковская (760 кВт). Возведение плотин этих электростанций существенно повлияло на экологию некоторых видов рыб, обитающих в Оке и Зуше.Наиболее протяженными и многоводными реками области являются: р. Ока (среднегодовой сток на границе с Тульской областью -2058 млн. м3); р. Зуша (приток Оки, среднегодовой сток - 988,6 млн. м3); р. Сосна (приток Дона, среднегодовой сток на границе с Липецкой областью - 687,0 млн. м3). В юго-восточной части области расположены бассейны рек Навли и Неруссы, впадающих в Десну (приток р. Днепр), с общим годовым стоком 210 млн. м3.Рельеф местности обусловливает медленное, спокойное течение рек. Реки Зуша, Сосна и ряд других менее крупных рек благодаря значительному перепаду высот имеют довольно быстрое течение.На величину поверхностного стока орловских рек влияют климатические факторы - количество атмосферных осадков, сезонная температура воздуха и его влажности. Кроме того, на величину стока некоторое влияние оказывает рельеф местности, геологическое строение подстилающих пород, заболоченность водосборов и наличие лесных массивов. Большое значение в формировании поверхностного стока имеет хозяйственная деятельность человека и техногенная нагрузка на ландшафты [Природные ресурсы, 2002].Областной водный фонд пополняется за счет создания водохранилищ и прудов, аккумулирующих сток весеннего половодья. Качество воды многих прудов улучшают многочисленные родники, которые подпитывают пруды, препятствуя их высыханию и улучшая проточность. Всего в области насчитывается более 1730 прудов суммарной площадью 2800-3000 га. [Блинников В.И. и др., 1989; Фёдоров А.В., 1960]. Из них по состоянию на 01.09.2005 г. Администрацией Орловской области утвержден перечень рыбопромысловых участков. Этот перечень включает в себя 608 водоёмов общей площадью 5105,6 га. В таблице 1 показано распределение водоёмов, предназначенных для рыбоводческих нужд, по районам области.
4,6(87 оценок)
Ответ:
eliza3108
eliza3108
22.08.2021
Автомобиль проезжает весь путь за 3 часа, значит за 2 часа он проезжает 2/3 пути.
Значит грузовик проехал за 2 часа 1/3 пути.
Тогда ему надо еще 4 часа, чтобы проехать оставшиеся 2/3 пути.

Пусть весь путь из А в В = S
Тогда скорость автомобиля = S/3
Пусть грузовик проезжает весь маршрут за X часов
Тогда скорость грузовика = S/xСкорость сближения = S/3+S/x=(S*x+S*3)/3*x
C этой скоростью за 2 часа оба автомобиля весь маршрут.
2*(S*x+S*3)/3*x=S
2*S*(x+3)=S*x*3
2x+6=3x
x=6 - время за которое грузовик проходит весь путь.
Значит осталось ехать ему 6-2=4 часа
4,8(9 оценок)
Это интересно:
logo
Вход Регистрация
Что ты хочешь узнать?
Спроси Mozg
Открыть лучший ответ