М
Молодежь
К
Компьютеры-и-электроника
Д
Дом-и-сад
С
Стиль-и-уход-за-собой
П
Праздники-и-традиции
Т
Транспорт
П
Путешествия
С
Семейная-жизнь
Ф
Философия-и-религия
Б
Без категории
М
Мир-работы
Х
Хобби-и-рукоделие
И
Искусство-и-развлечения
В
Взаимоотношения
З
Здоровье
К
Кулинария-и-гостеприимство
Ф
Финансы-и-бизнес
П
Питомцы-и-животные
О
Образование
О
Образование-и-коммуникации
Vitaly536218
Vitaly536218
17.01.2022 20:37 •  Математика

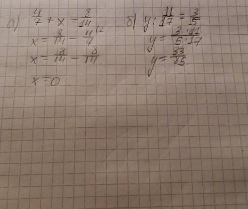
4. Решить уравнения а)4/7 + х = 8/14б)у: 11/17=3/5
11​

👇
Ответ:
ekozhushkova
ekozhushkova
17.01.2022

ответ: решение в фотографии

Пошаговое объяснение:


4. Решить уравнения а)4/7 + х = 8/14б)у: 11/17=3/511​
4,6(17 оценок)
Ответ:
osadtsamax
osadtsamax
17.01.2022

Решение уравнений на фото


4. Решить уравнения а)4/7 + х = 8/14б)у: 11/17=3/511​
4,4(66 оценок)
Открыть все ответы
Ответ:
pollyholly123
pollyholly123
17.01.2022

1) Найти области определения и значений данной функции f.

Для аргумента и функции нет ограничений: их значения - вся числовая ось.

2) Выяснить, обладает ли функция особенностями, облегчающими исследование, т. е. является ли функция f: а) четной или нечетной:

f(-x)=(-x)³−1 = -x³−1 = -(x³+1). Значит, функция не чётная и не нечётная.

б) не периодическая.

3) Вычислить координаты точек пересечения графика с осями координат:

- пересечение с осью Оу (х = 0), у = -1.

- пересечение с осью Ох (у = 0), x³−1 = 0, x³ = 1, x = ∛1 = 1.

4) Найти промежутки знакопостоянства функции f.

На основе нулей функции имеем:

- функция отрицательна при х < 1 (x ∈ (-∞; 1),

- функция положительна при х > 1 (x ∈ (1; +∞).

5) на каких промежутках функция f возрастает, а на каких убывает.

Найти точки экстремума, вид экстремума (максимум или минимум) и вычислить значения f в этих точка.

Находим производную функции и приравниваем нулю.

y' = 3x² = 0, x = 0 это критическая точка. Находим знаки производной левее и правее этой точки. Так как переменная в квадрате, то знак её положителен. Значит, функция на всей области определения возрастает.

Поэтому не имеет ни минимума, ни максимума.

6) Вторая производная y'' = 6x. Поэтому в точке х = 0 функция имеет перегиб. При x < 0 график функции выпуклый, при x > 0 вогнутый.

7) Асимптот функция не имеет.


Решить . : исследование функций проведите по общей схеме исследование функции и постройте ее график.
4,8(1 оценок)
Ответ:
dildora140995p01blz
dildora140995p01blz
17.01.2022

Пошаговое объяснение:

2) доступно у абонента 3 гига, он потратил в 10 месяце 3.5, значит он взял 1 пакет на 0.5гига, цена которого 90р, т.е 1×90=90рублей доплатил за интернет+плата за сам тариф 300 рублей, итого 300+90=390рублей он потратил в октябре

3) лимит 300 минут , по графику видно, что он превысил лимит 6 раз, то есть 12-6=6 раз абонент не превышал лимит по минутам за 2018 год

4) лимит 3гига, по графику видно, что он превышал лимит 3 раза, тогда 12-3=9 раз абонент не превышал лимит по гигабайтам за 2018 год

4,7(51 оценок)
Это интересно:
Новые ответы от MOGZ: Математика
logo
Вход Регистрация
Что ты хочешь узнать?
Спроси Mozg
Открыть лучший ответ