М
Молодежь
К
Компьютеры-и-электроника
Д
Дом-и-сад
С
Стиль-и-уход-за-собой
П
Праздники-и-традиции
Т
Транспорт
П
Путешествия
С
Семейная-жизнь
Ф
Философия-и-религия
Б
Без категории
М
Мир-работы
Х
Хобби-и-рукоделие
И
Искусство-и-развлечения
В
Взаимоотношения
З
Здоровье
К
Кулинария-и-гостеприимство
Ф
Финансы-и-бизнес
П
Питомцы-и-животные
О
Образование
О
Образование-и-коммуникации
Apple8066
Apple8066
18.01.2021 00:56 •  Математика

1.Знайдіть корінь рівняння 5х-60 = 12-х.

2. Знайдіть суму коренів рівнянь 5(10-4х) = 50 і -3(2-х) = -9.

3. Знайдіть частку від ділення кореня рівняння 2х+4 = 4 - 2х на
корінь рівняння 9,8(4,7-х)+1,2(5+х) = 13.

4. Чому дорівнює 5х, якщо 7(х -4) - 2х = 2?
Напишіть розв′язок
5. Яке з наведених рівнянь має найменший корінь? Напишіть розв′язок
А) 10(х-1) = х-1; Б) 5х-2 = х-1,2;
В) 9х-3 = 4(2х-1); Г) 2(х+0,5) = х+1,5.
6. Розв′яжіть задачу
У трьох цехах працює 413 робітників, причому в другому цеху на 35 робітників менше, ніж у першому, а в третьому — в 3 рази більше, ніж у першому. Скільки робітників працює в першому цеху? якщо через х позначено кількість робітників у першому цеху?
А) х+х+35+Зх = 413; Б)х+х-35+х:3 = 413;
В) х+х-35+Зх = 413; Г)х+х+35+х:3 = 413.
Достатній рівень навчальних досягнень

7. Розв'яжіть рівняння 8(2х+1)+1 - 3(4х- 2) = 1.

8. В автопарку вантажівок було у 5 разів більше, ніж легкових ав¬томобілів. Після того як у рейс вийшло 58 вантажівок і 15 лег¬кових автомобілів, в автопарку залишилося вантажних авто¬мобілів на 61 більше, ніж легкових. Скільки легкових і скільки вантажних автомобілів було в автопарку спочатку?

Високий рівень навчальних досягнень

9. Розв' яжіть рівняння 8+(|0,8у-1,2|):1,2= 13.

👇
Ответ:
HaskyZ0nG
HaskyZ0nG
18.01.2021

х1+х2=-1

Пошаговое объяснение:

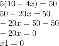
5(10 - 4x) = 50 \\ 50 - 20x = 50 \\ - 20x = 50 - 50 \\ - 20x = 0 \\ x1 = 0

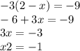
- 3(2 - x) = - 9 \\ - 6 + 3x = - 9 \\ 3x = - 3 \\ x2 = - 1

x1 + x2 = 0 + ( - 1) = - 1

4,7(45 оценок)
Открыть все ответы
Ответ:
bartosz04
bartosz04
18.01.2021
Решить системой? Хорошо. Вот вариант:пусть X - скорость катера, тогда Y - скорость реки. Свяжем их уравнениями: Поясню второе выражение: 2 часа это общее время движения, оно складывалось из времени движения1) вниз (vniz) по течению 2) вверх (vniz) по течению  Решаем. Видно, что можно из первого высказывания взять 16 для второго высказывания. Получим:     Вспоминаем о нашей сисеме. После преобразований (см. выше) получили:Вычитая или складывая почленно правые и левые части уравнений системы получим:2X = 40-2Y = -8, значитХ = 20 км/ч, Y=4 км/ч  
4,4(4 оценок)
Ответ:
smirnov27121981
smirnov27121981
18.01.2021
27+32+22=81 участников (не уникальных лиц) в кружках.
10 ребят общие для драмкружка и хора, значит мы посчитали их два раза и их стоит отнять от 81: 81-10=71.
6 ребят общие для хора и спорта, 8 для драмкружка и спорта, а 3 общие для спорта, драмкружка и хора, значит нужно сложить 6 и 8, а потом отнять 3, т.к. они общие: 6+8-3=11. Отнимаем от 71 11 и получаем 71-11=60. Значит, всего 60 ребят где-то задействовано. 70-60=10, следовательно именно 10 ребят не посещают не один кружок.
Только спортом занимаются 11 человек, т.к. остальные 11 занимаются где-нибудь ещё:22-8+6-3=11
Втрех седьмых классах 70 . из них 27 занимаются в драмкружке, 32 поют в хоре, 22 увлекаются спортом.
4,7(27 оценок)
Это интересно:
Новые ответы от MOGZ: Математика
logo
Вход Регистрация
Что ты хочешь узнать?
Спроси Mozg
Открыть лучший ответ