М
Молодежь
К
Компьютеры-и-электроника
Д
Дом-и-сад
С
Стиль-и-уход-за-собой
П
Праздники-и-традиции
Т
Транспорт
П
Путешествия
С
Семейная-жизнь
Ф
Философия-и-религия
Б
Без категории
М
Мир-работы
Х
Хобби-и-рукоделие
И
Искусство-и-развлечения
В
Взаимоотношения
З
Здоровье
К
Кулинария-и-гостеприимство
Ф
Финансы-и-бизнес
П
Питомцы-и-животные
О
Образование
О
Образование-и-коммуникации
OppLeech
OppLeech
03.09.2020 00:04 •  Математика

Розв’язати рівняння:
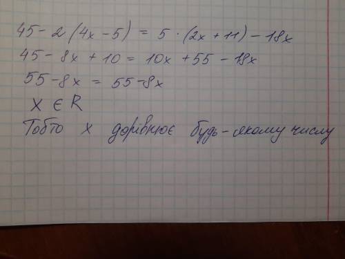
45-2•(4х-5)=5•(2х+11)-18х

👇
Ответ:
dlenchuk
dlenchuk
03.09.2020

Корней нет

Пошаговое объяснение:

45 - 8х + 10 = 10х + 55 - 18х

-8х  - 10х + 18х = 55 - 45 -10

0х = 0

х ∈ R

х - любое число

4,5(39 оценок)
Ответ:
ГульнараС
ГульнараС
03.09.2020

Пошаговое объяснение:


Розв’язати рівняння: 45-2•(4х-5)=5•(2х+11)-18х
4,4(1 оценок)
Открыть все ответы
Ответ:
rfrfirflehf
rfrfirflehf
03.09.2020

При этом на население одновременно могут воздействовать различные поражающие факторы (травматическое поражение, радиационное поражение, химическое поражение или их комбинации).

При возникновении очага массового поражения населения невозможно оказать первую медицинскую одновременно всем пострадавшим. Поэтому в такой обстановке ее должно уметь оказывать само население.

Первая медицинская при массовом поражении людей представляет собой комплекс мероприятий, проводимых на месте получения поражения самим пострадавшим (само или другим лицом. Оказание первой медицинской проводится с использованием табельных или подручных средств с целью устранения последствий поражения, угрожающих жизни, и предупреждения опасных осложнений.

Пошаговое объяснение напишите что не так:)

4,5(6 оценок)
Ответ:
plotnikdias
plotnikdias
03.09.2020
Определить чувство радости и объяснить его, на мой взгляд, довольно сложно. мы гораздо острее ощущаем груз повседневных забот и обязанностей, и переживаем грусть или печаль, чем маленькие, ежедневные радости. но стоит только остановиться и прислушаться к себе, как открываются многочисленные грани простых жизненных радостей. такое чувство как радость, естественная часть человеческой жизни. ведь минуты радости бывают разные. бывают простыми, такими, которые приносит наше тело и его ощущения. например, радость от съеденного мороженого в жаркий день или кусочка вкусного торта на празднике. приятная усталость после пробежки по парку, игры в футбол, а также радость от ласковых солнечных лучей на щеке и аромата цветущей сирени в саду. простое удовольствие от утреннего сладкого сна в выходной день, когда никуда не надо спешить, а разбудит тебя только мягкая лапка твоего кота и запах свежеиспеченных бабушкиных пирожков. но огромное место в нашем восприятии мира занимают радости духовные, те, которые касаются наших чувств и мыслей. эти удовольствия более сложные и переживаются гораздо глубже. чтение захватывающей повести или романа, заставят надолго ощущать приятный зуд желания, поскорее узнать, чем закончатся события в книге. беседа с лучшими друзьями подарит чувство легкости и радостной приподнятости, а взаимная любовь заставит заиграть жизнь новыми красками. хочется сказать о том, что чувство радости, каждый чувствует по-своему. кому-то высшим счастьем покажутся изысканные деликатесы, покупка модной куртки или последняя модель телефона, а кому-то в радость будет достижение очередного рекорда в спортивном состязании или бездомным животным. но если в первом случае, радость обладания вещью будет кратковременна и скоро обновка перестанет доставлять удовольствие, то во втором случае, чувство удовлетворения достигнутым результатом или сделанным добрым делом будет сопровождать человека долго, наполняя жизнь новым смыслом.
4,8(3 оценок)
Это интересно:
Новые ответы от MOGZ: Математика
logo
Вход Регистрация
Что ты хочешь узнать?
Спроси Mozg
Открыть лучший ответ