М
Молодежь
К
Компьютеры-и-электроника
Д
Дом-и-сад
С
Стиль-и-уход-за-собой
П
Праздники-и-традиции
Т
Транспорт
П
Путешествия
С
Семейная-жизнь
Ф
Философия-и-религия
Б
Без категории
М
Мир-работы
Х
Хобби-и-рукоделие
И
Искусство-и-развлечения
В
Взаимоотношения
З
Здоровье
К
Кулинария-и-гостеприимство
Ф
Финансы-и-бизнес
П
Питомцы-и-животные
О
Образование
О
Образование-и-коммуникации
89825518635e
89825518635e
14.11.2020 09:21 •  Математика

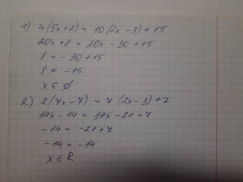
1 )4(5х+2) = 10(2х - 3)+15
2) 2(7х-7)=7(2x - 3) +7​

👇
Ответ:
Mashylka999
Mashylka999
14.11.2020

Пошаговое объяснение:


1 )4(5х+2) = 10(2х - 3)+152) 2(7х-7)=7(2x - 3) +7​
4,8(82 оценок)
Ответ:
нурбол5
нурбол5
14.11.2020

1) 4(5x+2)=10(2x-3)+15

20x+8=20x-30+15

20x-20x=-30+15-8

x=-23 /:(0)

x=-23, так как на ноль делить нельзя

2) 2(7x-7)=7(2x-3)+7

14x-14=14x-21+7

14x-14x=-21+7+14

x=0

Пошаговое объяснение:

4,4(34 оценок)
Открыть все ответы
Ответ:
Эрайз
Эрайз
14.11.2020

ответ:4<х<5, -2<у<-1.

Оценить

А). х+у

складываем оба неравенства почленно со своими знаками

4 < х < 5

-2 < у < -1

получим

4-2 < х+у < 5-1

2 < х+у < 4

Б). х-у

заменим вычитание сложением

х-у = х + (-у)

преобразуем второе неравенство

-2 < у < -1

поменяем все знаки на противоположные

2 > -у > 1

перевернем неравенство

1 < -у < 2

теперь сложим почленно два неравенства

4 < х < 5

1 < -у < 2

получим

4+1 < х-у < 5+2

5 < х-у < 7

В). х*у

перемножим почленно оба неравенства

4 < х < 5

-2 < у < -1

получим

4*(-2) < х*у < 5*(-1)

-8 < ху < -5

Г). х/у

заменим деление умножением

х/у = х*(1/у)

преобразуем второе неравенство

-2 < у < -1

-1/2 > 1/у > -1/1

перевернем

-1 < 1/у < -1/2

перемножим два неравенства

4 < х < 5

-1 < 1/у < -1/2

получим

4*(-1) < х*(1/у) < 5*(-1/2)

-4 < х/у < -2,5

Пошаговое объяснение:

4,7(62 оценок)
Ответ:
Begzodik
Begzodik
14.11.2020

11.Всего 10+15+20 = 45 камней.

В начале 3 кучки, при каждом ходе количество кучек увеличивается на 1.

11.Для начало, циркулем, нарисуем дуги радиусом равным расстоянию от точки М до соответствующей точки.

Затем циркулем сделаем засечки на этих дугах радиусом равным расстоянию от точки F (можно задаться любой точкой) до соответствующей точки.

Полученные точки пересечения соединим последовательно сплошной линией (смори результат ниже, на рисунке)

Или

переносить точки координатным Высчитывать координаты точек на строй фигуре и переносить, с учетом поворота на 90°, на новую фигуру

Игра кончается, когда все камни лежат по одному, то есть 45 кучек.

Значит, вего будет 45 - 3 = 42 хода, то есть четное число.

Поэтому поледний ход всегда делает 2 игрок.

Если, конечно, никто не пропускал ходы.

Это по сути шуточная игра, потому что все заранее известно, и никакими усилиями ни один из игроков не может ничего изменить.

10.

1) Нет, так как фраза «не менее 26 метров» означает 26 и более метров, а таких домов в поселке нет.

2) Нет, такие дома вполне могут быть, можно даже предположить наличие одинаковых по высоте домов.

3) Да, так как минимальная высота 5 метров.

4) Да, фраза «не меньше 3 метров» означает 3 и более, а такие дома есть.

ответ: 34.

4,6(43 оценок)
Это интересно:
logo
Вход Регистрация
Что ты хочешь узнать?
Спроси Mozg
Открыть лучший ответ