М
Молодежь
К
Компьютеры-и-электроника
Д
Дом-и-сад
С
Стиль-и-уход-за-собой
П
Праздники-и-традиции
Т
Транспорт
П
Путешествия
С
Семейная-жизнь
Ф
Философия-и-религия
Б
Без категории
М
Мир-работы
Х
Хобби-и-рукоделие
И
Искусство-и-развлечения
В
Взаимоотношения
З
Здоровье
К
Кулинария-и-гостеприимство
Ф
Финансы-и-бизнес
П
Питомцы-и-животные
О
Образование
О
Образование-и-коммуникации
Milena0011
Milena0011
17.08.2020 18:45 •  Математика

Вычисли :
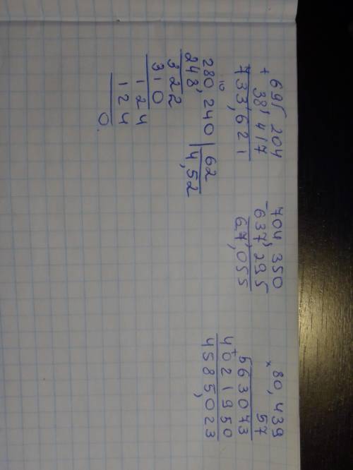
38.417+695.204
704.350-637.295
80.439*57
280.240:62 , только столбиком нужно

👇
Ответ:
1AnGor1
1AnGor1
17.08.2020

ответ: /

Пошаговое объяснение:


Вычисли : 38.417+695.204 704.350-637.295 80.439*57 280.240:62 , только столбиком нужно
Вычисли : 38.417+695.204 704.350-637.295 80.439*57 280.240:62 , только столбиком нужно
Вычисли : 38.417+695.204 704.350-637.295 80.439*57 280.240:62 , только столбиком нужно
Вычисли : 38.417+695.204 704.350-637.295 80.439*57 280.240:62 , только столбиком нужно
4,6(41 оценок)
Ответ:
135670ш8ге5
135670ш8ге5
17.08.2020

Отметь как лучший ответ


Вычисли : 38.417+695.204 704.350-637.295 80.439*57 280.240:62 , только столбиком нужно
4,7(93 оценок)
Открыть все ответы
Ответ:
kim5194557878
kim5194557878
17.08.2020

                                                                                 

                                                                                            №1

1)120/100=1.2 - приходится на один процент

2) 36X1.2=43.2% - от всего числа составляют мастера спорта

3) 120/36=3.3 - в 3.3 раза общее число участников больше количества мастеров спорта

ответ: а) 43.2%, б) в 3.3 раза

 

                                                                                   №2

1) 30/100=0.3 - приходится на один процент

2) 0.3x12=3.6% - составляет успеваемость по математики в начале года

3) 18x0.3=5.4% - составляет успеваемость по математики в конце года

4)  30/30 - 18/30 = 12/30 - cоставляет число не успевающих в конце года

5)5.4/3.6=1.5 - в 1.5 раза стала лучше успеваемость в конце года

6) 5.4-3.6=1.8 - на 1.8% выросла успеваемость к концу года

ответ: а) 12    б) в 1.5 раза в) на 1.8%

                   -

                  30

4,4(66 оценок)
Ответ:
zvarichevgenija
zvarichevgenija
17.08.2020
1Измерьте при линейки, или любым другим длины всех сторон многоугольника. Затем сложите полученные в результате измерений значения и получите периметр данной геометрической фигуры. Например, если стороны треугольника равны 12, 16 и 10 см, то его периметр будет равен 12+16+10=38 см. 2Периметр квадрата или ромба найдите, зная длину одной из его сторон. Он будет равен длине этой стороны, умноженной на число 4. Например, если сторона квадрата равна 2 см, то его периметр P=4∙2=8 см. 3В общем случае, периметр любого правильного многоугольника (это выпуклый многоугольник, стороны которого равны между собой), равен длине одной стороны, умноженной на количество его сторон или углов (это количество равно между собой у всех многоугольников, например, у восьмиугольника 8 углов и 8 сторон). Например, чтобы найти периметр правильного шестиугольника со стороной 3 см, умножьте ее на 6 (P=3∙6=18 см). 4Для того чтобы найти периметр прямоугольника или параллелограмма, противоположные стороны которых параллельны и равны, измерьте длины их неравных сторон a и b. В случае с прямоугольником это его длина и ширина. Затем найдите их сумму, а получившееся число умножьте на 2 (P=(a+b)∙2). Например, если есть прямоугольник со сторонами 4 и 6 см, которые являются его длиной и шириной, найдите его периметр по формуле P=(4+6)∙2=20 см. 5Если в прямоугольном треугольнике даны только две стороны, третью найдите, используя теорему Пифагора. После этого найдите сумму всех сторон – это и будет его периметр. Например, если катеты прямоугольного треугольника равны a=6 см и b=8 см, найдите сумму их квадратов, а из полученного результата извлеките квадратный корень. Это будет длина третьей стороны (гипотенузы), c=√(6²+8²)=√(36+64)= √100=10 см. Вычислите периметр как сумму трех сторон треугольника Р=6+8+10=24 см.
4,5(64 оценок)
Новые ответы от MOGZ: Математика
logo
Вход Регистрация
Что ты хочешь узнать?
Спроси Mozg
Открыть лучший ответ