

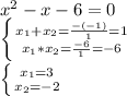
Включив оба автомата определённое количество деталей можно изготовить за 2.
Пошаговое объяснение:
Узнаем время работы второго автомата:
1) 6 : 2 = 3 ( ч ) - время работы второго автомата.
Узнаем производительность первого автомата:
2)
- производительность первого автомата.
Узнаем производительность второго автомата:
3)
- производительность первого автомата.
Узнаем общую производительность:
4)
- общая производительность.
Узнаем время совместной работы:
5)
- время совместной работы.
*Примечание: в ответе не указаны единицы измерения времени. Соответственно, я не имел возможности написать наименование.
УДАЧИ! ОБРАЩАЙТЕСЬ!
Пошаговое объяснение: