М
Молодежь
К
Компьютеры-и-электроника
Д
Дом-и-сад
С
Стиль-и-уход-за-собой
П
Праздники-и-традиции
Т
Транспорт
П
Путешествия
С
Семейная-жизнь
Ф
Философия-и-религия
Б
Без категории
М
Мир-работы
Х
Хобби-и-рукоделие
И
Искусство-и-развлечения
В
Взаимоотношения
З
Здоровье
К
Кулинария-и-гостеприимство
Ф
Финансы-и-бизнес
П
Питомцы-и-животные
О
Образование
О
Образование-и-коммуникации
Milintin25
Milintin25
17.08.2020 07:14 •  Математика

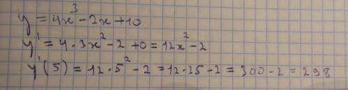
Найдите производную функции в точке х=5
У= 4х3 - 2х +10

👇
Ответ:
Ddddd46763
Ddddd46763
17.08.2020

298

Пошаговое объяснение:

Решение на фото.


Найдите производную функции в точке х=5 У= 4х3 - 2х +10
4,8(67 оценок)
Открыть все ответы
Ответ:
Sweetkristina
Sweetkristina
17.08.2020
xy'-3y=(x^4)*(e^x)    
y'-3y/x=(x^3)*(e^x) // поделили на x, x=0 не является решением
  
1) рассматриваем "однородное" уравнение
y'-(3/x)*y=0 
dy/dx=3y/x   //переходим к дифференциальной записи 
dy/y=3dx/x   //поделили на y и x
// интегрируем и получаем
ln|y| =  3ln(|x|*C)
y (частное) = C*x^3 // получили частное решение дифференциального уравнения

2) а теперь начинаем работу непосредственно с постоянной
y=C(x)*x^3
y' = C'(x)(x^3) + 3*(x^2)*C(x) // посчитали производную
// подставим в исходное
C'(x)(x^3) + 3*(x^2)*C(x) - (3/x)*C(x)*(x^3) = (x^3)*e^x
// привели подобные, получили:
C'(x)*(x^3) = (x^3)*e^x 
C'(x) = e^x // поделили на x^3
// берем интеграл
C(x) = e^x + C1
// решение нашего уравнения:
y = (e^x + C1)*x^3
// теперь вспоминаем о задаче Коши. Подставляем:
4 = (e^2 + C1)*2^3
C1 = 1/2 - e^2
// Окончательный ответ:
y = (e^x +1/2 - e^2 )*x^3
4,6(12 оценок)
Ответ:
Lilithovhannisyan
Lilithovhannisyan
17.08.2020

вот

Пошаговое объяснение:

1) Периметр

найдем длины всех сторон

АВ = √ (2+5) ^2 + (3-4) ^2 + (1-2) ^2 = √49+1+1=√51

BC = √ (-3-2) ^2 + (-1-3) ^2 + (-3-1) ^2 = √25+16+16 = √57

AC = √ (-3+5) ^2 + (-1-4) ^2 + (-3-2) ^2 = √4+25+25 = √54

P = √51+√57+√54

2) cosa = ?

AB={7; -1; -1}

BC={-5; -4; -4}

cosa = (7*-5+1*4+1*4) / √51*57 = - 27/√2907

3) BM медиана она будет серединой АС

AC/2 = {-3-5/2; - 1+4/2; - 3+2/2} = {-4; 3/2; - 1/2 }

BM=√ (2+4) ^2 + (3-3/2) ^2 + (1+1/2) ^2 = √40.5

4) средняя линия треугольника параллельна третей стороне и равна ее половине

то есть HM=BC/2 = √57/2

5) найдем уравнения медиан

назовем точки пересечения с сторонами; A1. B1. C1 соотвественно

А1 - ВС

В1 - АС

C1 - AB

A1 = {-3+2/2; - 1+3/2; - 3+1 / 2} = {-1/2; 1; - 1 }

B1 = {-3-5/2; - 1+4/2; - 3+2/2 } = { - 4; 3/2; - 1/2 }

C1 = { 2-5/2; 3+4/2; 1+2/2 } = {-3/2; 7/2; 3/2}

теперь направляющие вектора

АА1 = {-1/2 + 5; 1-4; - 1-2 } = {4.5; - 3; - 3 }

BB1 = {-4-2; 1.5-3; - 0.5-1} = {-6; - 1.5; -1.5 }

CC1 = {-1.5+3; 3.5+1; 1.5+3} = { 1.5; 4.5; 4.5}

теперь сами уравнения

A (-5 4 2) B (2 3 1) C (-3 - 1 - 3)

AA1 = (x+5) / 4.5 = (y-4) / - 3 = z-2 / - 1

BB1 = (x-2) / - 6 = (y-3) / - 1.5 = z-1/-1.5

CC1 = (x+3) / 1.5 = (y+1) / 4.5 = (z+3) / 4.5

(x+5) / 4.5 = (y-4) / - 3 = z-2 / - 1

(x-2) / - 6 = (y-3) / - 1.5 = z-1/-1.5

(x+3) / 1.5 = (y+1) / 4.5 = (z+3) / 4.5

{-3x-4.5y-13.5z = 6

{x-4y-4z=10

{3x-y-z = - 7

система

4,5(19 оценок)
Это интересно:
Новые ответы от MOGZ: Математика
logo
Вход Регистрация
Что ты хочешь узнать?
Спроси Mozg
Открыть лучший ответ