М
Молодежь
К
Компьютеры-и-электроника
Д
Дом-и-сад
С
Стиль-и-уход-за-собой
П
Праздники-и-традиции
Т
Транспорт
П
Путешествия
С
Семейная-жизнь
Ф
Философия-и-религия
Б
Без категории
М
Мир-работы
Х
Хобби-и-рукоделие
И
Искусство-и-развлечения
В
Взаимоотношения
З
Здоровье
К
Кулинария-и-гостеприимство
Ф
Финансы-и-бизнес
П
Питомцы-и-животные
О
Образование
О
Образование-и-коммуникации
МиленаШифр
МиленаШифр
02.08.2021 16:15 •  Математика

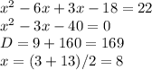
Если одна сторона квадрата увеличивается на 3 см, а другая уменьшается на 6 см, площадь полученного прямоугольника составляет 22 см '.Найдите сторону квадрата обозначеную х

👇
Ответ:
ваниль2003
ваниль2003
02.08.2021

8

Пошаговое объяснение:

(х+3)(х-6)=22

x^{2} -6x+3x-18=22\\x^{2} -3x-40=0\\D=9+160=169\\x=(3+13)/2=8

4,8(5 оценок)
Открыть все ответы
Ответ:
sob000
sob000
02.08.2021
4 человека стоят в ряд. Каждый может видеть только стоящих перед ним, если ничего не мешает. Первый видит второго и третьего. Второй видит третьего. Третий никого не видит из-за стены. Четвертый тоже никого не видит. Они знают, что на них одеты шляпы, две черные и две белые. Но никто из них не знает шляпа какого цвета одета на нем самом. Перед ними поставлена задача узнать про цвет своей шляпы. На свою шляпу смотреть нельзя, назад смотреть тоже нельзя. Каждый, кто догадался о цвете своей шляпы, обязан вслух сказать об этом.
Вопрос: Кто из них в данной ситуации может узнать цвет своей шляпы?

ответ: Человек номер 2. Человек номер два знает, что, если на нем и на третьем одинаковые шляпы, то первый сразу поймет какая на нем самом. Так как выбор тогда остается только из одного цвета. Но так как человек номер один молчит, то человек под номером два понимает, что на нем и на третьем шляпы разных цветов. Так как на третьем одета черная шляпа, то на нем самом, соответственно, белая. Вот и все.
4,5(55 оценок)
Ответ:
маьтвор
маьтвор
02.08.2021

Или 2 рыцаря и 1 лжец, или 0 рыцарей и 3 лжеца.

Пошаговое объяснение:

Джон и Джим рыцари, а Джек лжец.

Джон говорит, что Джим назвал бы Джека лжецом, и это правда.

Джим говорит, что Джек назвал бы Джона лжецом.

Джек сам лжец и рыцаря Джона он действительно назвал бы лжецом.

Джек говорит, что Джон назвал бы Джима лжецом, и это ложь.

Точно также любой из этих людей может оказаться лжецом, а два остальных - рыцарями.

Может ли один быть рыцарем, а два лжецами?

Пусть Джим рыцарь, а Джон и Джек лжецы.

Джон говорит, что Джим назвал бы Джека лжецом, и это правда. Но лжец Джон не может сказать правду.

Пусть Джон рыцарь, а Джим и Джек лжецы.

Тогда фраза Джим назвал бы Джека рыцарем, значит Джон лжет. Но рыцарь не может лгать.

Пусть Джек рыцарь, а Джон и Джим лжецы.

Джим говорит, что Джек назвал бы Джона лжецом, и это правда. Но лжец Джим не может сказать правду.

Как видим, во всех случаях получается противоречие.

Значит, такого не может быть.

Однако, может быть другой вариант: они все лжецы.

Джим говорит, что Джек назвал бы Джона лжецом. Это ложь, потому что лжец Джек назвал бы лжеца Джона рыцарем. Тоже самое про остальные две фразы.

Такой вариант возможен.

4,5(48 оценок)
Новые ответы от MOGZ: Математика
logo
Вход Регистрация
Что ты хочешь узнать?
Спроси Mozg
Открыть лучший ответ