М
Молодежь
К
Компьютеры-и-электроника
Д
Дом-и-сад
С
Стиль-и-уход-за-собой
П
Праздники-и-традиции
Т
Транспорт
П
Путешествия
С
Семейная-жизнь
Ф
Философия-и-религия
Б
Без категории
М
Мир-работы
Х
Хобби-и-рукоделие
И
Искусство-и-развлечения
В
Взаимоотношения
З
Здоровье
К
Кулинария-и-гостеприимство
Ф
Финансы-и-бизнес
П
Питомцы-и-животные
О
Образование
О
Образование-и-коммуникации
АВатар1765
АВатар1765
24.09.2020 08:46 •  Математика

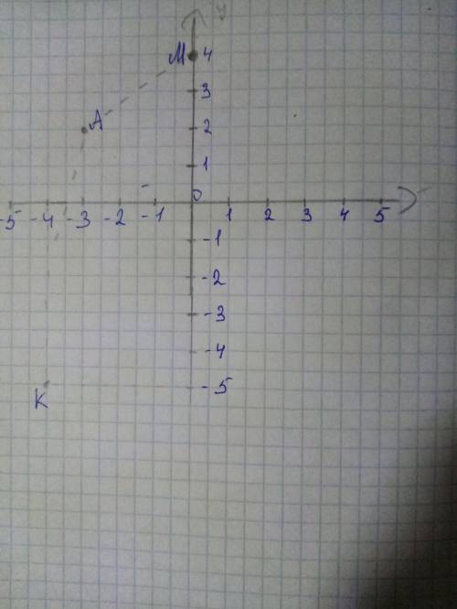
Позначте на координатній площині точки: М(0;4) ; К(-4;-5);
А

👇
Ответ:
арина1492
арина1492
24.09.2020

ответ: надеюсь

Пошаговое объяснение:


Позначте на координатній площині точки: М(0;4) ; К(-4;-5); А
4,5(80 оценок)
Ответ:
1232815
1232815
24.09.2020

ответ дан в фото.

Можно соединить все точки.


Позначте на координатній площині точки: М(0;4) ; К(-4;-5); А
4,5(72 оценок)
Открыть все ответы
Ответ:
allaxarchenko
allaxarchenko
24.09.2020

3:8  - 1-ый

чтобы получить дробь 3/8 надо единицу разделить на 8 равных частей и взять 3 такие части

2 -ой:

чтобы получить дробь 3/8 надо число 3 разделить на число 8  

 2:21 - 

1-ый

чтобы получить дробь 2/21 надо единицу разделить на 21 равных частей и взять 2 такие части

2 -ой:

чтобы получить дробь 2/21 надо число 2 разделить на число 21 

7:80 - 

1-ый

чтобы получить дробь 7/80 надо единицу разделить на 80 равных частей и взять 7 такие части

2 -ой:

чтобы получить дробь 7/08 надо число 7 разделить на число 80

4,5(98 оценок)
Ответ:
тима400
тима400
24.09.2020
Отбытие: полдень 29 сентября или в 12:00
Прибытие:1 октября в 22:00
так как в сентябре 30 дней:
1)12+24+22=58 часов поезд был в пути
2)60/60*48=48 минут поезд едет до остановки
3) 48*5+4*10+30*1=310 минут-время пути поезда с пятью остановками
4)48*5=240 км - проедет поезд до 5 остановки
4)58*60=3480 минут-поезд был в пути
5)3480/310=11 70/310 
Соответственно поезд сделает за время пути 11 раз цикл из 5 остановок и при этом ему останется ехать еще 70 минут
6)70/48= 1 22/48
Значит поезд успеет проехать еще 48 минут и сделать 10 минутную остановку
7) 70-10=60 км проедет поезд за 70 минут
8)240*11+60=2700 км-проедет поезд всего
4,5(22 оценок)
Это интересно:
Новые ответы от MOGZ: Математика
logo
Вход Регистрация
Что ты хочешь узнать?
Спроси Mozg
Открыть лучший ответ