М
Молодежь
К
Компьютеры-и-электроника
Д
Дом-и-сад
С
Стиль-и-уход-за-собой
П
Праздники-и-традиции
Т
Транспорт
П
Путешествия
С
Семейная-жизнь
Ф
Философия-и-религия
Б
Без категории
М
Мир-работы
Х
Хобби-и-рукоделие
И
Искусство-и-развлечения
В
Взаимоотношения
З
Здоровье
К
Кулинария-и-гостеприимство
Ф
Финансы-и-бизнес
П
Питомцы-и-животные
О
Образование
О
Образование-и-коммуникации
vladik28092006
vladik28092006
15.05.2023 04:54 •  Математика

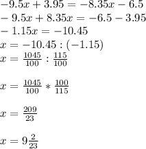
-9,5х+3,95=-8,35х решить с действиями

👇
Ответ:
arsenumerbekov
arsenumerbekov
15.05.2023

9\frac{2}{23}

Пошаговое объяснение:

-9.5x+3.95=-8.35x-6.5\\-9.5x+8.35x=-6.5-3.95\\-1.15x=-10.45\\x=-10.45:(-1.15)\\x=\frac{1045}{100} :\frac{115}{100} \\\\x=\frac{1045}{100} *\frac{100}{115} \\\\x=\frac{209}{23} \\\\x=9\frac{2}{23}

4,8(37 оценок)
Открыть все ответы
Ответ:
Слово «казак» известно с xiii[25]−xiv вв., оно впервые упоминается в словаре куманского (старокыпчакского) языка 1303 года. по одной из версий, слово «казак» тюркского происхождения. как пишет в. в. бартольд, оно происходит от слова «каз» (гусь), что в переносном смысле означает «вольный, как птица» и изначально применялось к человеку, в одиночку или с семьёй  отделившемуся от своего государства, рода, и вынужденного самостоятельно искать средств содержания в степи , «вести жизнь искателя приключений». казаками могли называть недовольных правителем (ханом, царем или князем) подданных, ушедших в другое место, и самого правителя, потерпевшего поражение и оставшегося с небольшой группой сторонников. ту же этимологию имеет и название народа казахи.
4,7(73 оценок)
Ответ:
millergil
millergil
15.05.2023
Описание религиозной жизни россии, наверное, следует начать с принятия на руси христианства. это случилось в 988 году. политическая обстановка того времени требовала для выживания государства принятия того или иного вероисповедания, причем вероисповедания соседей, которые и становились союзниками. предложений было много, но всерьез пришлось выбирать между двумя: принятие православия, и дальнейшая ориентация на византию или принятие католической веры и ориентация на западную европу. как известно, князь владимир выбрал православие, наверное, в силу того, что греки руси никак не угрожали, скорее наоборот, а вот в западноевропейской политике и тогда (и сейчас) занимал видную роль "дранг нах остен" поход на восток, с крестом и мечом. если бы тогда была принята латинская вера (т. е. католичество) , то русь как самостоятельное государство перестала бы существовать. русь, приняв христианство, еще долго оставалась под властью языческих воззрений, которые включились в православное вероучение. вместе с византийским вариантом христианства была воспринята и идея подчиненности церкви светским правителям. православная церковь не дала распасться державе в период феодальной раздробленности и монголо-татарского ига. ведь тогда русь представляла собой скопление мелких княжеств, постоянно враждовавших между собой. но церковь была одна, подчиняющаяся одному митрополиту всея руси. митрополия находилась до 1300 г. в киеве, затем некоторое время - во владимире, затем в москве. именно поддержка церкви позволила начать процесс объединения земель вокруг москвы в 14 веке. формирование государственности на руси шло в направлении к сильной центральной светской власти. церковь постепенно теряла функции непосредственного . эпизодические попытки православной церкви усилить свое влияние на государственную власть успеха не имели. приоритет государственной власти над церковной и определение статуса православной церкви как государственной религии получили правовое закрепление в соборном уложении 1649 г. в xvii веке вновь обостряется борьба "священства" и "царства", но произошедший церковный раскол позволил царской власти взять контроль над церковью под предлогом защиты "правой веры". при петре i была создана государственная система , патриаршество, и даже тайна исповеди была включена в систему государственной политики. согласно "своду законов российской империи" все религии на территории страны делились на три группы: государственную (православное вероисповедание) , терпимые (староверы, инославные, т. е. христианские неправославные, ислам, иудаизм, буддизм, идолопоклонничество и т. д. ) , и нетерпимые (различные секты) . запрещенные секты в россии (конец 19 века) : молокане, хлысты, духоборцы, жидовствующие, адвентисты 7-го дня и др. не исповедывать какое-либо вероучение вообще запрещалось до начала прихода к власти большевиков. распространение атеистических взглядов подвергалось уголовному преследованию. временное правительство, придя к власти, отменило все сословные, религиозные и национальные ограничения. православная религия была заменена на коммунистическую. коммунистическая идеология имела массу признаков религии: своего бога и его сподвижников, мучеников, святых и святыни; рай и ад (на земле) , и другое. и когда несколько лет назад была разрушена вера в в. и. ленина, т. е. с точки зрения, ленин остался без энергетической подпитки, вся советская магическая система рухнула. в настоящее время по конституции 1993 года (глава 2, статьи 14-19) российская федерация является светским государством, в котором никакая религия не может устанавливаться в качестве государственной или обязательной. религиозные объединения отделены от государства и равны перед законом. каждому гражданину предоставлена свобода мысли и слова. не допускается пропаганда или агитация, социальную, расовую, национальную или религиозную ненависть и вражду.
4,7(13 оценок)
Это интересно:
Новые ответы от MOGZ: Математика
logo
Вход Регистрация
Что ты хочешь узнать?
Спроси Mozg
Открыть лучший ответ