М
Молодежь
К
Компьютеры-и-электроника
Д
Дом-и-сад
С
Стиль-и-уход-за-собой
П
Праздники-и-традиции
Т
Транспорт
П
Путешествия
С
Семейная-жизнь
Ф
Философия-и-религия
Б
Без категории
М
Мир-работы
Х
Хобби-и-рукоделие
И
Искусство-и-развлечения
В
Взаимоотношения
З
Здоровье
К
Кулинария-и-гостеприимство
Ф
Финансы-и-бизнес
П
Питомцы-и-животные
О
Образование
О
Образование-и-коммуникации
яч123
яч123
19.09.2020 07:34 •  Математика

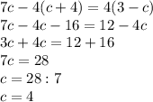
7c-4(c+4)=4(3-c) погите пожайлуста надо

👇
Ответ:
yaps61
yaps61
19.09.2020

4

Пошаговое объяснение:

7c-4(c+4)=4(3-c)\\7c-4c-16=12-4c\\3c+4c=12+16\\7c=28\\c=28:7\\c=4

4,7(62 оценок)
Открыть все ответы
Ответ:
Madina9742
Madina9742
19.09.2020
Из Норвегии являются: рыба и морепродукты – 64,5%, машины и оборудование - 15,2%, металлы и изделия из них - 7,9%, продукция химической промышленности – 7,0%.

**

Финский экспорт в Россию в 2009 году оценивался примерно в 4 млрд евро, что почти в два раза меньше, чем в 2008 году (7,6 миллиардов евро в 2008). Доля экспорта в общем объеме экспорта Финляндии находится на уровне 10 процентов. Мировой финансовый кризис вызвал падение объемов экспорта в 2009 году, однако благодаря оживлению экономики, торговля между странами снова стала расти. Помимо мирового кризиса, экспорт в Россию снизился из-за девальвации рубля, что привело к подорожанию импортной продукции.

Основные статьи финского экспорта — это по прежнему машинные приборы и оборудование, несмотря на то, что их доля в 2009 году сократилась до 41%. Продукция химической промышленности составила 21%, а готовых к использованию товаров 23,9%. Доля продовольственных товаров в общем объеме экспорта составила менее 10%, однако Россия по прежнему остается одним из основных рынков для экспорта финского продовольствия.

**

Основу российского импорта из Швеции составляют: средства наземного транспорта – 35,2%, реакторы, ядерные котлы, оборудование – 18,4%, электрооборудование – 17,3%, бумага и картон – 4,4%, экстракты дубильные и красильные – 3,4%, пластмассы и изделия из них – 3,1, черные металлы – 1,9%, изделия из черных металлов – 1,4%. На эти группы приходиться 85,1% российского импорта из Швеции.


Основными статьями российского импорта из Дании являются (в% от общего объема импорта в 1997 гг.) : мясо и мясопродукты - 31,2; машины и оборудование - 12,86%, зерно и зернопродукты - 10; молочные продукты - 4. Тенденция стабильного увеличения объемов российского импорта, наметившаяся в течение последних нескольких лет, сохранялась и в 1997 году за счет увеличения импорта мяса и мясопродуктов (на 50%), зерна и зернопродуктов (на 28,7%), рыбы и рыбопродуктов (на 35,8%), жиров и масел растительного происхождения (на 102,6%); косметических и туалетных средств (на 164,8%). Характерно, что в количественном соотношении ощутимое влияние на увеличение объемов российского экспорта в 1997 году оказали закупки по двум первым позициям. По ряду импортных позиций произошло снижение объемов поставок: ликероводочные изделия (на 28,5%), изделия из мяса, рыбы и ракообразных (на 5,7%), продукты переработки овощей (на 73,9%).

**
На данный момент доля России во внешнеторговом обороте Исландии невелика: лишь 0,6% импорта и 2,5% экспорта (2010 г.) . Согласно исландской статистике, объём двусторонней торговли за 2010 г. составил 14 млрд. крон (115 млн. долл. ) и существенно вырос по сравнению с 2009 г. (70,9 млн. долл.) . При этом с 68,7% до 82% возросла доля исландского экспорта, который составил 11,5 млрд. крон или 94,5 млн. долл. (в 2009 г. – 48,7 млн. долл.) . Основным фактором роста исландского экспорта стала продажа замороженной скумбрии, составившей 48% всех поставок в Россию. В целом, морепродукты составили 91,8% исландского экспорта. 3,1% приходится на дизельное топливо, которым в местных портах заправляются российские суда.
4,8(65 оценок)
Ответ:
helljump
helljump
19.09.2020
1)
х/10-у/5=0,
5х/3+у/6=7.
преобразуем первое уравнение и второе,получим:
х-2у-0,
10х+у=42.
х=2у,
10х+у=42.
подставим значение х=2у во второе уравнение , получим:
10*2у+у=42,20у+у=42,21у=42, у=42:21,у=2-подставим это значение в уравнение:х=2у, х=2*2=4,х=4,у=2.
ответ:(4;2)
2) 
х/4+у/8=2,
2х/9+у/6=1.
преобразуем каждое уравнение.
2х+у=16,
4х+3у=18.
Из первого уравнения выразим у: у=16-2х, подставим это выражение во второе уравнение: 4х+3(16-2х)=18,4х+48-6х=18,-2х=-30,х=15, это значение подставим в уравнение: у=16-2х, у=16-2*15=16-30=-14.
х=15 у=-14.
ответ:(15;-14)
4,6(62 оценок)
Новые ответы от MOGZ: Математика
logo
Вход Регистрация
Что ты хочешь узнать?
Спроси Mozg
Открыть лучший ответ