М
Молодежь
К
Компьютеры-и-электроника
Д
Дом-и-сад
С
Стиль-и-уход-за-собой
П
Праздники-и-традиции
Т
Транспорт
П
Путешествия
С
Семейная-жизнь
Ф
Философия-и-религия
Б
Без категории
М
Мир-работы
Х
Хобби-и-рукоделие
И
Искусство-и-развлечения
В
Взаимоотношения
З
Здоровье
К
Кулинария-и-гостеприимство
Ф
Финансы-и-бизнес
П
Питомцы-и-животные
О
Образование
О
Образование-и-коммуникации
henrycarbone
henrycarbone
15.02.2023 22:37 •  Математика

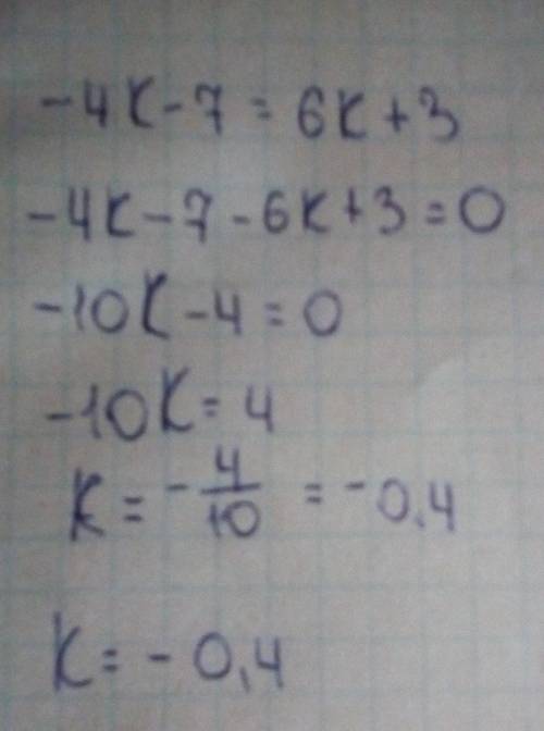
ответ с решением -4k-7=6k+3

👇
Ответ:
Tigor111
Tigor111
15.02.2023

.......................


ответ с решением -4k-7=6k+3
4,7(9 оценок)
Открыть все ответы
Ответ:
toli4ka1337
toli4ka1337
15.02.2023
ответ: 2 и 4.Объяснение:

1). Все одиннадцатиклассники из этой школы ростом больше 180 см, поэтому ростом в 173 см они быть никак не могут. Неверно.

2). В условии написано, что каждый одиннадцатиклассник ростом меньше 195 см. Поэтому это утверждение верно.

3). Опять же, все одиннадцатиклассники в этой школе не доросли даже до 196 см, не то что до 197. Утверждение неверно.

4). Так как рост учеников 11 класса этой школы колеблется в пределах 180-195 см (невключая 180 и 195), то разница будет меньше 195-180=15 см. Верно.

Вот мы и разобрали все утверждения. Из них верными оказались только два - №2 и №4.

4,4(19 оценок)
Ответ:
natchiy03
natchiy03
15.02.2023
ответ: 2 и 4.Объяснение:

1). Все одиннадцатиклассники из этой школы ростом больше 180 см, поэтому ростом в 173 см они быть никак не могут. Неверно.

2). В условии написано, что каждый одиннадцатиклассник ростом меньше 195 см. Поэтому это утверждение верно.

3). Опять же, все одиннадцатиклассники в этой школе не доросли даже до 196 см, не то что до 197. Утверждение неверно.

4). Так как рост учеников 11 класса этой школы колеблется в пределах 180-195 см (невключая 180 и 195), то разница будет меньше 195-180=15 см. Верно.

Вот мы и разобрали все утверждения. Из них верными оказались только два - №2 и №4.

4,4(85 оценок)
Новые ответы от MOGZ: Математика
logo
Вход Регистрация
Что ты хочешь узнать?
Спроси Mozg
Открыть лучший ответ