М
Молодежь
К
Компьютеры-и-электроника
Д
Дом-и-сад
С
Стиль-и-уход-за-собой
П
Праздники-и-традиции
Т
Транспорт
П
Путешествия
С
Семейная-жизнь
Ф
Философия-и-религия
Б
Без категории
М
Мир-работы
Х
Хобби-и-рукоделие
И
Искусство-и-развлечения
В
Взаимоотношения
З
Здоровье
К
Кулинария-и-гостеприимство
Ф
Финансы-и-бизнес
П
Питомцы-и-животные
О
Образование
О
Образование-и-коммуникации
Plushkina69
Plushkina69
27.03.2020 21:43 •  Математика

2 Решите уравнение:

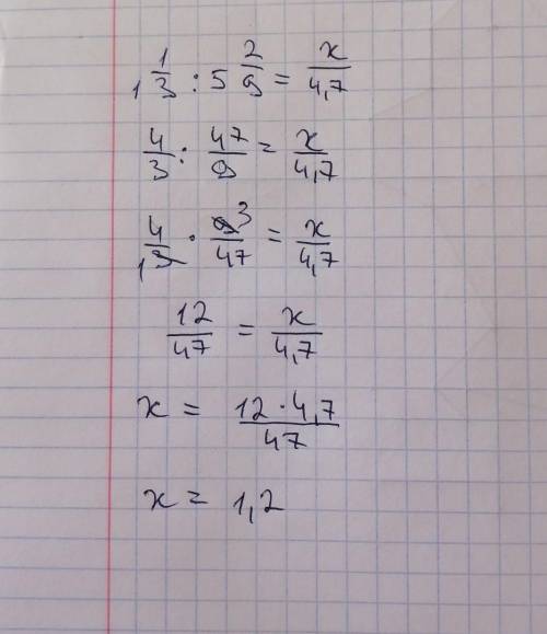
1целая 1/3 : 5 целых 2/9 =х : 4,7

👇
Ответ:
Gerdu
Gerdu
27.03.2020

X=1,2

Если в виде обыкновенной дроби, то 1 целая 1/5


2 Решите уравнение:1целая 1/3 : 5 целых 2/9 =х : 4,7
4,4(54 оценок)
Открыть все ответы
Ответ:
olesazato
olesazato
27.03.2020
Как появилась музыка? 

Приходилось ли вам гулять по лесу и набрести на маленький ручеек, весело журчащий вдоль тропы? Он звучит как музыка, не правда ли? Когда дождь барабанит по крыше, нежно поет птица — это ли не музыка? 

Когда человек стал наблюдать за происходя­щим вокруг него, он обнаружил, что музыка была повсюду. А когда он хотел выразить большую ра­дость, когда он хотел прыгать, кричать, выражая то, что ощущает, он услышал музыку в себе, хо­тя, может быть, еще не мог ее облечь в форму. 

Постепенно человек научился петь — это была первая музыка, созданная человеком. Как вы ду­маете, какое чувство человек хотел бы выразить в песне в первую очередь? Счастье? Да, счастье любви. Первыми песнями были песни о любви. С другой стороны, когда человек лицом к лицу на­ходился со смертью, которая приводила его в ужас, он выражал и эти чувства в различных ви­дах песен, например панихидах или погребальных песнях, церковных песнопениях. Поэтому любов­ные и погребальные песни были первой сотворен­ной человеком музыкой. 

Еще один вид музыки появился с развитием танца. Человеку потребовался аккомпанемент во время исполнения танца. Поэтому он хлопал в ладоши, щелкал пальцами или ударял в барабан. 

Барабан, вероятно, был самым старым инстру­ментом, который изобрел человек для извлечения звуков. Он настолько древний, что мы не можем проследить его начало в истории, но его находят у всех древних людей по всему миру. 

Самыми древними духовыми инструментами, созданными человеком, были свистки и тростни­ковые трубки. Свистки делали из кости, дерева и глины. Из этого развилась флейта. Это очень древний инструмент, египтяне владели ею уже бо­лее 6000 лет назад. 

Струнные инструменты появились вслед за этим. Знали ли вы, что они существовали уже в Древнем Египте?
4,7(11 оценок)
Ответ:
volodchenko161
volodchenko161
27.03.2020
Усмішка ()черга зібралася на міському майдані о п'ятій ранку, коли перегук півнів долинав із далекого, вкритого інеем селища й ніде не світилося. тоді повсюди над зруйнованими будинками висіли клапті туману, та ось тепер, о сьомій ранку, він почав зникати з появою перших ознак світанку. дорогою парами, втрьох іще йшли люди — був саме ярмарковий і святковий день.хлопчина стояв позаду двох чоловіків, котрі голосно розмовляли між собою, і в чистому холодному повітрі звучання їхніх слів було ще різкішим. він тупцював на місці й хекав на свої червоні, обвітрені руки, позираючи то на засмальцьований, з цупкої мішковини одяг ів, то на довгу вервечку чоловіків та жінок попереду.— агов, хлопче, а ти що тут робиш спозаранку? — почувся чоловічий голос у нього за спиною. —  це моє місце, я зайняв тут чергу, — відповів хлопець.—  ти б краще віддав своє місце комусь тямущому, а сам забрався б геть! —  не чіпай хлопця, - втрутився, різко обернувшись, один із чоловіків, які стояли попереду.—  я , — чоловік, котрий стояв позаду, поклав руку хлопчині на голову, а той, насупившись, скинув її. — просто подумав: якось дивно — дитина вже на ногах із самого ранку.—  цей хлопець тямить у мистецтві. зрозумів? — сказав захисник, чоловік на прізвище грігзбі. — як тебе звати, малий? —  том.—  наш том не схибить, плюне як слід. чи не так. томе? —  ще й питаєте! у черзі засміялися.попереду продавали гарячу каву в надщерблених філіжанках.поглянувши туди. том побачив маленьке палахкотливе вогнище й іржавий казанок, де шумувало вариво. це не була справжня кава. її запарили з якихось ягід, зібраних за містом, і продавали по пенні за філіжанку, щоб зігріти шлунок, та негусто було покупців, бо мало в кого вистачало на це грошей.том вдивлявся поперед себе, де за поруйнованою вибухом кам'яною стіною зникав кінець черги.—  кажуть, вона усміхається, — мовив хлопець.—  атож, усміхається, — відповів грігзбі.—  кажуть, вона з фарби і полотна.—  так. тому мені й здається, що вона не справжня. та, справжня, я чув, колись давно на дошці була намальована.—  кажуть, їй чотириста років.—  якщо не більше. ніхто не знає напевне, який тепер рік.—  дві тисячі шістдесят перший! —  правильно, хлопче, так тільки кажуть. брехня. може, вже трьохтисячний чи п'ятитисячний! хто знає? довгенько тривала уся ця колотнеча. а нам дісталися самі кісточки та ратички.2. яким постає життя людей у першому абзаці? обґрунтуйте відповідь цитатами.3. якою    була    кава,    що    продавали    в    черзі? як опис кави пов'язаний з тим фактом, що картину вважали несправжньою. 4. чим том відрізнявся від інших людей у черзі? ! > . що надає зображеній в уривку картині життя загрозливого характеру? наведіть відповідні цитати.поволі просуваючись, вони човгали холодною бруківкою.—  коли вже ми її побачимо? — непокоївся том.—  ще кілька хвилин, не більше. її відгородили, напнувши оксамитову стрічку на чотири мідних кілочки, за всіма правилами, щоб люди не підходили надто близько. і пам'ятай, томе, жодного каміння. у неї заборонили жбурляти каміння.—  гаразд, сер.сонце піднімалося на небосхилі дедалі вище, несучи тепло, яке змусило чоловіків поскидати страхітливу одіж та брудні капелюхи.—  чому всі ми стоїмо в черзі? — роздумуючи, запитав том. — чому всі мусять плювати? грігзбі й не глянув на нього, він дивився на сонце, міркуючи, котра година.—  ну, томе, є купа причин для цього, — він звично заклав руку до кишені, якої вже давно не було, шукаючи неіснуючу цигарку. том бачив цей жест мільйон разів. — тут вся річ у ненависті. ненависті до всього, пов'язаного з минулим. скажи мені. томе, як ми дожилися до такого? замість міст — звалища мотлоху, шляхи від бомб ніби викорчувані, а половина полів уночі світиться від радіації. ото я й запитую, томе, хіба це не огидний безлад? —  так, сер. так воно і є.—  тож-бо, томе. людина ненавидить те, що зламало її, покалічило їй життя. и тд  
4,8(27 оценок)
Это интересно:
Новые ответы от MOGZ: Математика
logo
Вход Регистрация
Что ты хочешь узнать?
Спроси Mozg
Открыть лучший ответ