М
Молодежь
К
Компьютеры-и-электроника
Д
Дом-и-сад
С
Стиль-и-уход-за-собой
П
Праздники-и-традиции
Т
Транспорт
П
Путешествия
С
Семейная-жизнь
Ф
Философия-и-религия
Б
Без категории
М
Мир-работы
Х
Хобби-и-рукоделие
И
Искусство-и-развлечения
В
Взаимоотношения
З
Здоровье
К
Кулинария-и-гостеприимство
Ф
Финансы-и-бизнес
П
Питомцы-и-животные
О
Образование
О
Образование-и-коммуникации
Uzdenova2005jam
Uzdenova2005jam
31.01.2023 05:55 •  Математика

РЕШИ методом подстановки:

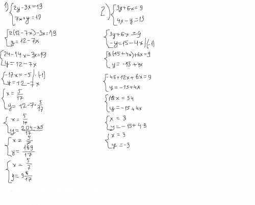
1) 2у - 3х=19,7х+у =1 2) 3y+6x=9,4x-y=15

👇
Ответ:
75545
75545
31.01.2023

Пошаговое объяснение:


РЕШИ методом подстановки: 1) 2у - 3х=19,7х+у =1 2) 3y+6x=9,4x-y=15
4,4(14 оценок)
Открыть все ответы
Ответ:
Nutmi
Nutmi
31.01.2023

Обозначим первоначальное количество - Х.

Тогда можно записать два уравнения.

1) х + а = 1/8*V

2) x - a = 3/20*V

Решаем систему уравнений.

Сложим два уравнения и получим 3)

3) 2*x = (1/8 + 3/20)*V = 11/40*V

Находим неизвестное - Х

4) X = 11/40 : 2 = 11/80 - было - ОТВЕТ

Вычтем уравнения - 1) - 2) = 5)

5) 2*а = (1/8 -3/20)*V = - 1/40

Находим неизвестное - а

6) a = 1/40 : 2 = -1/80  - изменение - ОТВЕТ

ПРОВЕРКА

11/80 + (- 1/80) = 10/80 = 1/8 - правильно

11/80 + 1/80 = 12/80 = 3/20 - правильно

Дополнительно

а - отрицательное число.  

Добавить = отлить, а отлить = добавить. Всё наоборот

4,6(52 оценок)
Ответ:
nataone7
nataone7
31.01.2023
1) 7,3605 ≈ 7,4; 
0,9421 ≈ 0,9; 
3,1502 ≈ 3,2; 
12,0374 ≈ 12; 
9,5601 ≈ 9,6; 

2) 0,67509 ≈ 0,68; 
4,0376 ≈ 4,04; 
19,6201 ≈ 19,62; 
3,4057 ≈ 3,41; 
6,4817 ≈ 6,48; 

3) 0,67509 ≈ 0,675; 
4,23265 ≈ 4,233; 
8,98605 ≈ 8,986; 
29,48075 ≈ 29,481.

Обрати внимание, что знак '≈' читается не "равно", а "примерно равно". Кстати, насчёт округления. Если тебе надо округлить число до десятых (работая с десятичными дробями, естественно), то ты смотришь на число, идущее после него: если число больше 5 включительно, то ты к этому числу прибавляешь 1; если число меньше 4 включительно, то ты ничего не делаешь, оставляешь всё как есть. Например, тебе надо округлить число 0,568 до десятых. Ты видишь, что число, идущее после "десятых", равно 6, значит, к "десятым (пятёрке)" ты прибавляешь 1 и уже после округления ты получаешь число 0,6. 
4,4(62 оценок)
Это интересно:
Новые ответы от MOGZ: Математика
logo
Вход Регистрация
Что ты хочешь узнать?
Спроси Mozg
Открыть лучший ответ