М
Молодежь
К
Компьютеры-и-электроника
Д
Дом-и-сад
С
Стиль-и-уход-за-собой
П
Праздники-и-традиции
Т
Транспорт
П
Путешествия
С
Семейная-жизнь
Ф
Философия-и-религия
Б
Без категории
М
Мир-работы
Х
Хобби-и-рукоделие
И
Искусство-и-развлечения
В
Взаимоотношения
З
Здоровье
К
Кулинария-и-гостеприимство
Ф
Финансы-и-бизнес
П
Питомцы-и-животные
О
Образование
О
Образование-и-коммуникации
Opasnaya2001
Opasnaya2001
13.04.2023 14:05 •  Математика

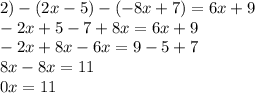
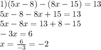
решить х-8)-(8х-15)=13
2.-(2х-5)-(-8х+7)=6х+9

👇
Ответ:
акниет01
акниет01
13.04.2023

1)x=-2;\ 2) решений нет.

Пошаговое объяснение:

1)(5x-8)-(8x-15)=13\\5x-8-8x+15=13\\5x-8x=13+8-15\\-3x=6\\x=\frac{6}{-3}=-2

2)-(2x-5)-(-8x+7)=6x+9\\-2x+5-7+8x=6x+9\\-2x+8x-6x=9-5+7\\8x-8x=11\\0x=11

- решений нет.

4,8(88 оценок)
Открыть все ответы
Ответ:

Пошаговое объяснение:

1) M, K - середины сторон ⇒ MK - средняя линия, MK = 1/2AC = 1/2 · 7 = 3,5 см

2) по свойствам высоты, проведённой на гипотенузу; ⇒ 4= x · (5 - x);

x² - 5x + 4 = 0  по теореме Виета: x₁ + x₂ = 5;  x₁x₂ = 4 ⇒ x₁ = 1;  x₂ = 4 ⇒ AH = 4;  HB = 1; AC = √16+ 4 = √20 = 2√5;  BC = √1+ 4 = √5. Дан ΔABC - прямоугольный; AC, BC - катеты; отрезки гипотенузы - AH; HB

ответ: 4; 1; √5; 2√5

3) Дан ΔABC; ∠C = 90°;  ∠A = ∠B = 45° ⇒ ΔABC - равнобедренный ⇒ AC = BC = x;  2x² = 64;  x = 4√2 = AC = BC;  

MK = KP = 1/2 AC = 1/2 BC = 2√2 см;  MP = 1/2 AB = 4см

MK, KP, MP - среднии линии

ответ: 4 см, 2√2 см; 2√2√ см

4,4(39 оценок)
Ответ:
N4kes
N4kes
13.04.2023

Пошаговое объяснение:

1) M, K - середины сторон ⇒ MK - средняя линия, MK = 1/2AC = 1/2 · 7 = 3,5 см

2) по свойствам высоты, проведённой на гипотенузу; ⇒ 4= x · (5 - x);

x² - 5x + 4 = 0  по теореме Виета: x₁ + x₂ = 5;  x₁x₂ = 4 ⇒ x₁ = 1;  x₂ = 4 ⇒ AH = 4;  HB = 1; AC = √16+ 4 = √20 = 2√5;  BC = √1+ 4 = √5. Дан ΔABC - прямоугольный; AC, BC - катеты; отрезки гипотенузы - AH; HB

ответ: 4; 1; √5; 2√5

3) Дан ΔABC; ∠C = 90°;  ∠A = ∠B = 45° ⇒ ΔABC - равнобедренный ⇒ AC = BC = x;  2x² = 64;  x = 4√2 = AC = BC;  

MK = KP = 1/2 AC = 1/2 BC = 2√2 см;  MP = 1/2 AB = 4см

MK, KP, MP - среднии линии

ответ: 4 см, 2√2 см; 2√2√ см

4,8(8 оценок)
Это интересно:
Новые ответы от MOGZ: Математика
logo
Вход Регистрация
Что ты хочешь узнать?
Спроси Mozg
Открыть лучший ответ