М
Молодежь
К
Компьютеры-и-электроника
Д
Дом-и-сад
С
Стиль-и-уход-за-собой
П
Праздники-и-традиции
Т
Транспорт
П
Путешествия
С
Семейная-жизнь
Ф
Философия-и-религия
Б
Без категории
М
Мир-работы
Х
Хобби-и-рукоделие
И
Искусство-и-развлечения
В
Взаимоотношения
З
Здоровье
К
Кулинария-и-гостеприимство
Ф
Финансы-и-бизнес
П
Питомцы-и-животные
О
Образование
О
Образование-и-коммуникации
kurilovav890
kurilovav890
20.11.2022 10:26 •  Математика

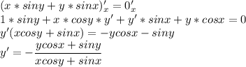
X*siny + y*sinx = 0 найти производную

👇
Ответ:
murzyeva1970
murzyeva1970
20.11.2022

(x*siny + y*sinx )'_x= 0'_x\\ 1*siny+x*cosy*y'+y'*sinx+y*cosx=0\\ y'(xcosy+sinx)=-ycosx-siny\\ y'=-\dfrac{ycosx+siny}{xcosy+sinx}

4,6(78 оценок)
Открыть все ответы
Ответ:
keti230187
keti230187
20.11.2022
Петр первый создал мощную евро-азиатскую империю, Екатерина вторая ее не растранжирила, а еще больше укрепила. Начиная с Николая первого бездарные и ленивые цари привели страну в упадок, на задворки Европы. Ленин создал великий, могучий СССР, Сталин его еще больше развил и укрепил, выведя СССР по многим экономическим показателям на первое место в Европе и второе в мире. Начиная с Хрущева и заканчивая Андроповым, его ставленником, Горбачевым и еще более бездарным Ельциным дважды великая страна поставлена антисталинистами на грань полного ВЫМИРАНИЯ. Она опять превратилась не только в задворки Европы, но и в задворки Китая. А от места расположения столицы ничего не зависит. Столица СССР была опять в Москве, а страна вышла при Брежневе на первое место в мире по многим видам производства. Строго говоря, в гребаной рыночной демократической РФ теперь даже шариковые ручки производятся на иносранных станках по иносранным лицензиям. Разумеется, Путин, он и не Петр, и не Сталин. Неизмеримо мельче. Но в спину ему дышит такое дерьмо.. . что живые позавидуют мертвым.
2)Особенностями архитектуры Санкт-Петербурга являются продуманная регулярность застройки, соразмерность городских ансамблей, учёт влияния неброской природной среды, гармоничная полифония различных архитектурных стилей, сочетание регионального и столичного менталитета, вовлечение загородных анклавов в единую агломерацию.
3)не знаю
4)http://ricolor.org/history/cu/picture/history/18_vek/
не знаю
4,4(37 оценок)
Ответ:
Senavn
Senavn
20.11.2022
Петр первый создал мощную евро-азиатскую империю, Екатерина вторая ее не растранжирила, а еще больше укрепила. Начиная с Николая первого бездарные и ленивые цари привели страну в упадок, на задворки Европы. Ленин создал великий, могучий СССР, Сталин его еще больше развил и укрепил, выведя СССР по многим экономическим показателям на первое место в Европе и второе в мире. Начиная с Хрущева и заканчивая Андроповым, его ставленником, Горбачевым и еще более бездарным Ельциным дважды великая страна поставлена антисталинистами на грань полного ВЫМИРАНИЯ. Она опять превратилась не только в задворки Европы, но и в задворки Китая. А от места расположения столицы ничего не зависит. Столица СССР была опять в Москве, а страна вышла при Брежневе на первое место в мире по многим видам производства. Строго говоря, в гребаной рыночной демократической РФ теперь даже шариковые ручки производятся на иносранных станках по иносранным лицензиям. Разумеется, Путин, он и не Петр, и не Сталин. Неизмеримо мельче. Но в спину ему дышит такое дерьмо.. . что живые позавидуют мертвым.
2)Особенностями архитектуры Санкт-Петербурга являются продуманная регулярность застройки, соразмерность городских ансамблей, учёт влияния неброской природной среды, гармоничная полифония различных архитектурных стилей, сочетание регионального и столичного менталитета, вовлечение загородных анклавов в единую агломерацию.
3)не знаю
4)http://ricolor.org/history/cu/picture/history/18_vek/
не знаю
4,6(20 оценок)
Это интересно:
Новые ответы от MOGZ: Математика
logo
Вход Регистрация
Что ты хочешь узнать?
Спроси Mozg
Открыть лучший ответ