М
Молодежь
К
Компьютеры-и-электроника
Д
Дом-и-сад
С
Стиль-и-уход-за-собой
П
Праздники-и-традиции
Т
Транспорт
П
Путешествия
С
Семейная-жизнь
Ф
Философия-и-религия
Б
Без категории
М
Мир-работы
Х
Хобби-и-рукоделие
И
Искусство-и-развлечения
В
Взаимоотношения
З
Здоровье
К
Кулинария-и-гостеприимство
Ф
Финансы-и-бизнес
П
Питомцы-и-животные
О
Образование
О
Образование-и-коммуникации
HeBce3HauKa
HeBce3HauKa
30.03.2023 19:14 •  Математика

Найди корень уравнение.
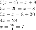
5(x-4)=x+8

👇
Ответ:
anna0969
anna0969
30.03.2023

x=7.

Пошаговое объяснение:

5(x-4)=x+8\\5x-20=x+8\\5x-x=8+20\\4x=28\\x=\frac{28}{4}=7

4,6(80 оценок)
Открыть все ответы
Ответ:
ludmillychka
ludmillychka
30.03.2023

ответ: Да, всегда выполнимо.

Пример для любых n>k>1:

Возьмем n единиц.

Каждые k из них умножим на простое число. (каждый набор из k чисел умножаем на разное простое число, простых чисел бесконечно, а наборов С из n по k).

Полученный набор чисел удовлетворяет условиям:

1) Любые k из имеют общий делитель, больший 1.

Условие (1) Выполняется, т. к. любые k из них делятся на какое-то простое число (из построения примера).

2) Любые k+1 число из них не имеют общий делитель, больший 1, т. е. их наибольший общий делитель равен 1.

Допустим, что это условие не выполняется, найдутся k+1 число с наибольшим общим делителем, не равным 1.

Тогда их наибольший общий делитель раскладывается на простые множители.

На каждый из этих простых множителей делится не более k чисел в наборе из условия построения примера.

Следовательно ни на один из этих простых множителей не делятся все k+1 число. Противоречие, значит условие (2) выполняется.

4,8(61 оценок)
Ответ:
olesyapetrova8
olesyapetrova8
30.03.2023
1) из двух шариковдопустим 1 шарик красного цвета2 шарик сисенего цвета3 шарик желтого цвета можно сложить шарики 1 и 2, 1 и 3, 2 и 3, 2 и 1, 3 и 1, 3 и 2 всего в вариантов2)из трех шариковдопустим 1 шарик красного цвета2 шарик сисенего цвета3 шарик желтого цвета  можно сложить шарики 1, 2 и 3; 1, 3 и 2; 2,1 и 3; 2,3 и 1; 3,1 и 2; 3,2 и 1 всего 6 вариантов   Итог: с двумя шариками можно сложить 6 вариантов, и из трех шарико тоже можно сложить 6 вариантов. Если нужна общая сумма всех вариантов то их будет 12
4,8(13 оценок)
Новые ответы от MOGZ: Математика
logo
Вход Регистрация
Что ты хочешь узнать?
Спроси Mozg
Открыть лучший ответ