М
Молодежь
К
Компьютеры-и-электроника
Д
Дом-и-сад
С
Стиль-и-уход-за-собой
П
Праздники-и-традиции
Т
Транспорт
П
Путешествия
С
Семейная-жизнь
Ф
Философия-и-религия
Б
Без категории
М
Мир-работы
Х
Хобби-и-рукоделие
И
Искусство-и-развлечения
В
Взаимоотношения
З
Здоровье
К
Кулинария-и-гостеприимство
Ф
Финансы-и-бизнес
П
Питомцы-и-животные
О
Образование
О
Образование-и-коммуникации
Vikakotik5
Vikakotik5
26.05.2023 22:20 •  Математика

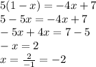
Решите уравнение 5(1 - х) = - 4х + 7
НУЖНО

👇
Ответ:

x=-2.

Пошаговое объяснение:

5(1-x)=-4x+7\\5-5x=-4x+7\\-5x+4x=7-5\\-x=2\\x=\frac{2}{-1}=-2

4,4(54 оценок)
Ответ:
anastoanovic
anastoanovic
26.05.2023

ответ: -2

Пошаговое объяснение:

5(1-x) = -4x + 7

5 - 5x = -4x + 7

-x = 2

x = -2

4,4(82 оценок)
Открыть все ответы
Ответ:
Rytdg
Rytdg
26.05.2023
  Один цветочек случайно вырос на крыше дома. Он не был в этом виноват, просто так получилось. Вероятно, туда занесло ветром семечко, оно упало в щель, где скопилась земля и влага, и проросло там. Никто не видел, как это случилось, потому что никого не было поблизости - дом был заброшенный, старый, даже птицы редко залетали туда. И почему-то больше на крыше ничего не выросло. Как-то тоже так получилось, и опять же никто не был в этом виноват. А семечко, между тем, благополучно пережило зиму и по весне превратилось в цветочек.    Сначала росток увидел яркое весеннее солнышко и синее небо и очень обрадовался. Солнышко согрело его, поиграло лучами на лепестках и им раскрыться. Наверное, вокруг сразу же распространился прекрасный аромат... А может быть, цветочек и вовсе не пах... Никто не знает, ведь никого не было поблизости, чтобы услышать его запах. Между тем, цветочек огляделся по сторонам и никого больше не увидел. "Какой странный мир, - подумал он. - Неужели он существует только для меня?"    Но вот солнышко скрылось за тучкой, и полился теплый летний дождь. Его крупные капли пропитали почву, смыли пыль с листьев и напоили цветок. А вот и снова солнышко, тепло и ясно, можно расти и радоваться, не заботясь ни о чем. Да и чего еще желать? Так и думал цветочек. Первые два дня. А потом ему стало скучно. А потом обидно, что никто не видит, как он так красиво вырос и распустился. А потом любопытно: неужели и правда он один в целом свете. И он уже совсем было хотел испугаться своего одиночества, как вдруг... на крышу прилетела птица. Не знаю, откуда она там взялась, вероятно, летела в свои какие-нибудь очень дальние и очень жаркие страны и присела передохнуть. Но птица была, и цветочек ее сразу заметил. И сначала просто удивился: что это за странное существо такое? А потом очень захотел с птицей подружиться и тоже куда-нибудь улететь. И вот он потянулся к ней, и, о чудо, птица его заметила. А по тому, как тянулись к ней его лепестки, уловила его желание, ведь для того чтобы понять другого, не обязательно нужны слова. Тогда птица бережно взяла в свой клюв комочек земли, в котором вырос цветок, и полетела с ним в дальние страны...    Говорят, он видел весь мир (правда, это говорили лягушки на болоте, а для них, понятное дело, и соседнее озеро, как другая вселенная). Он общался с другими цветами, деревьями и кустами. С его лепестками играл ветер разных дорог, полей и городов... А потом он тоже раскидал по свету все свои семена. Вдруг у них тоже будет удивительная и насыщенная жизнь? Цветочек был очень счастлив.
4,8(84 оценок)
Ответ:
Baidu
Baidu
26.05.2023
Пословицы о школе и учёбеУчить - ум точить.Не выучит школа, выучит охота.Что твёрдо выучишь, долго помнится.Не говори: учился, а говори, что узнал.Учиться всегда пригодится.Легко забыть то, чего не знаешь.Красна птица перьем, а человек ученьем.Они одной школы, одной выучки, одной шерсти, масти, один черт.Кто знает дорогу, тот не спотыкается.Не штука проучить, а штука научить.Очки грамоте не учат.Повторенье - мать ученья.Мудрым никто не родился.На берегу плавать не научишься.Больше узнаешь - сильнее станешь.Грамоте учиться - всегда пригодится.Для ученья нет старости.Не гордись званием, а гордись знанием.Добрый разум наживают не разом.Кому трудно учиться один день, тому трудно будет всю жизнь.Кто любит науки, тот не знает скуки.У Николы две школы: азбуки учат да кануны твердят.Кто учится с молоду, не знает на старости голоду.Наука учит только умного.Наука хлеба не просит, а хлеб даёт.Корень учения горек, да плод его сладок.Боится школьник лозы пуще грозы.Без грамоты - как без свечки в потёмках.Школа вымучит, охота выучит.Догадка хороша, а знание лучше.Ученье без уменья не польза, а беда.Умный не тот, кто много говорит, а тот, кто много знает.Уму до конца жизни учатся.Ученье да труд к славе ведут.Учёного учить - только портить.Учиться никогда не поздно.Повторять да учить - ум точить.Кто возьмет без спросу, тот будет без носу (надпись на книге школьника).У врача лечись, а у умного учись.Напрасный труд - удить без крючка, учиться без книги.В науке старых нет.Если сам не доучился, не берись учить других.Была бы охота, а выучиться можно.За учёного двух неучёных дают и то не берут.Где нет знаний, там нет и смелости.Гни дерево, пока гнётся, учит дитятку, пока слушается.Знает не тот, кто много жил, а тот, кто знания нажил.Знание и мудрость украшают человека.Наука глаза открывает.Наука даром не даётся - наука трудом берётся.Краденое яичко школьнику слаще.Крик, как в жидовской школе.Разница между школьником и огнем? (Огонь высекут, да и разложат; а школьника сперва разложат, а там высекут).
4,8(2 оценок)
Это интересно:
Новые ответы от MOGZ: Математика
logo
Вход Регистрация
Что ты хочешь узнать?
Спроси Mozg
Открыть лучший ответ