М
Молодежь
К
Компьютеры-и-электроника
Д
Дом-и-сад
С
Стиль-и-уход-за-собой
П
Праздники-и-традиции
Т
Транспорт
П
Путешествия
С
Семейная-жизнь
Ф
Философия-и-религия
Б
Без категории
М
Мир-работы
Х
Хобби-и-рукоделие
И
Искусство-и-развлечения
В
Взаимоотношения
З
Здоровье
К
Кулинария-и-гостеприимство
Ф
Финансы-и-бизнес
П
Питомцы-и-животные
О
Образование
О
Образование-и-коммуникации
Olga20004666
Olga20004666
30.12.2022 23:10 •  Математика

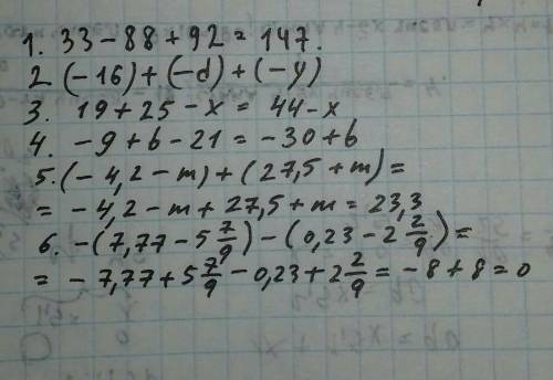
1.Записать данное выражение без скобок;(+33)+(-88)+(+92)=
2.Представить в виде суммы трёх слагаемых;
-16-d-y=(-16)+
3.Раскрой скобки и у выражение;
19+(25-х)
Выражение без скобок;..
Выражение после упрощения;...
4.раскрой скобки и у выражение;
-(9-b)-21
Выражение без скобок;..
Выражение после упрощения;...
5.Напиши сумму двух выражений и у ее;-4,2-m и27,5 + m
Сумма двух выражений:...
После упрощения;...
6.раскрой скобки и найди значение выражения; -(7,77- 5 7/9)-(0,23- 2 2/9)=

👇
Ответ:
ESKIMO111
ESKIMO111
30.12.2022

:)););)););):):):)):););)


1.Записать данное выражение без скобок;(+33)+(-88)+(+92)= 2.Представить в виде суммы трёх слагаемых;
4,4(36 оценок)
Ответ:
agentboy
agentboy
30.12.2022

ответ:1)33-88+92

Пошаговое объяснение:

4,7(54 оценок)
Открыть все ответы
Ответ:
lenok140
lenok140
30.12.2022
"Говорильный" аппарат,
Модный гаджет,связи рад.
Фото,видео снимает,
На звонки он отвечает.
                                ( Телефон)

К празднику, всегда "накрыт",
Полон явств и каждый сыт,
Я бюро и секретер,
Есть компьютерный размер.
                                 ( Стол)

Важных данных я хранитель,
Информации носитель,
Гибкая,так что же это?
Я магнитная ?(Дискета)

Я блокнот и память я,
Есть и электронная.
Записи я все веду,
Всё фиксирую и жду.
                         (Записная книжка)

Не пищу и не шуршу,
А с компьютером-дружу.
Я курсором управляю,
И командам
                        (Мышка)

Осенью,я всех встречаю.
Летом,просто отдыхаю.
Весь учебный год-учу,
Дарить знания хочу.
                          (Школа)
4,6(24 оценок)
Ответ:
никита3491
никита3491
30.12.2022
Дано:
Всего - 25 книг
Гарри Поттер + Рон = 4 книги
Гермиона = 7 книг
Гермиона + Гарри Поттре = 2 книги
Гарри Поттер всего = 11 книг.
(только) Рон - ? книг
По действиям:
1) Гарри Поттер прочитал всего 11 книг. Из них 4 он прочитал с Роном, а 2 с Гермионой. Значит только Гарри Поттер прочитал:
11-(4+2) = 11-6=5 (книг)
2) Из 25 книг только Гермиона прочитала 7 книг + только Гарри прочитал 5 книг + 2 книги они прочитали вместе, остается:
25-(2+7+5) = 25-14=11 (книг) - которые всего прочитал Рон.
3) Рон вместе с Гарри Поттером прочитал 4 книги, значит только Рон прочитал:
11-4=7 (книг).
ответ: только Рон прочитал 7 книг.
(для наглядности смотрите рисунок "Круги Эйлера" в приложении)

На полке стояло 25 волшебных книг по заклинаниям, все они были прочитаны гермионой гари потром или р
4,4(93 оценок)
Это интересно:
Новые ответы от MOGZ: Математика
logo
Вход Регистрация
Что ты хочешь узнать?
Спроси Mozg
Открыть лучший ответ