М
Молодежь
К
Компьютеры-и-электроника
Д
Дом-и-сад
С
Стиль-и-уход-за-собой
П
Праздники-и-традиции
Т
Транспорт
П
Путешествия
С
Семейная-жизнь
Ф
Философия-и-религия
Б
Без категории
М
Мир-работы
Х
Хобби-и-рукоделие
И
Искусство-и-развлечения
В
Взаимоотношения
З
Здоровье
К
Кулинария-и-гостеприимство
Ф
Финансы-и-бизнес
П
Питомцы-и-животные
О
Образование
О
Образование-и-коммуникации
Ирма69
Ирма69
02.07.2020 11:08 •  Математика

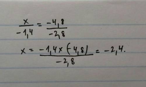
Найди неизвестный член пропорции: x/−1,4=−4,8/−2,8; x=

👇
Ответ:
zalinairina9
zalinairina9
02.07.2020

ответ:x=-2.4

Пошаговое объяснение:

X=(-1.4*(-4.8))/(-2.8))

4,6(20 оценок)
Ответ:
seva0311
seva0311
02.07.2020

☺☺☺☺☺☺☺☺☺☺☺☺☺☺☺☺☺☺☺☺☺☺☺


Найди неизвестный член пропорции: x/−1,4=−4,8/−2,8; x=
4,8(6 оценок)
Открыть все ответы
Ответ:
Janiya1404
Janiya1404
02.07.2020
Если Вам уже 14 лет, то Вы имеете право:
-управлять самостоятельно велосипедом

При этом строго ЗАПРЕЩАЕТСЯ:
" ездить, не держась за руль одной или двумя руками;
" цепляться за проходящий транспорт;
" перевозить пассажиров, кроме ребенка в возрасте до 7 лет на дополнительном сиденье, оборудованном надежными подножками;
" перевозить груз, мешающий управлению или выступающий более 0,5 метра за габариты.
Перед выездом необходимо проверить тормоза, крепление руля, работу звонка. Велосипедисты двигаются по правому краю правой полосы или обочине в один ряд. Перед выполнением поворота заранее подается предупредительный сигнал рукой.
Самый опасный маневр - поворот налево и разворот.
На перекрестке Вы должны переходить проезжую часть, соблюдая правила для пешеходов. На перекрестке равнозначных дорог велосипедист должен пропустить транспорт, приближающийся справа.
Можно ли перевозить пассажиров на велосипеде?
Взрослых людей — нет. Можно перевозить лишь детей, которые должны быть посажены на специальные сидения на раме велосипеда. Также запрещено перевозить груз, который выступает на полтора метра вдоль или поперек.
4,8(27 оценок)
Ответ:
asia1406
asia1406
02.07.2020
Если Вам уже 14 лет, то Вы имеете право:
-управлять самостоятельно велосипедом

При этом строго ЗАПРЕЩАЕТСЯ:
" ездить, не держась за руль одной или двумя руками;
" цепляться за проходящий транспорт;
" перевозить пассажиров, кроме ребенка в возрасте до 7 лет на дополнительном сиденье, оборудованном надежными подножками;
" перевозить груз, мешающий управлению или выступающий более 0,5 метра за габариты.
Перед выездом необходимо проверить тормоза, крепление руля, работу звонка. Велосипедисты двигаются по правому краю правой полосы или обочине в один ряд. Перед выполнением поворота заранее подается предупредительный сигнал рукой.
Самый опасный маневр - поворот налево и разворот.
На перекрестке Вы должны переходить проезжую часть, соблюдая правила для пешеходов. На перекрестке равнозначных дорог велосипедист должен пропустить транспорт, приближающийся справа.
Можно ли перевозить пассажиров на велосипеде?
Взрослых людей — нет. Можно перевозить лишь детей, которые должны быть посажены на специальные сидения на раме велосипеда. Также запрещено перевозить груз, который выступает на полтора метра вдоль или поперек.
4,8(74 оценок)
Это интересно:
Новые ответы от MOGZ: Математика
logo
Вход Регистрация
Что ты хочешь узнать?
Спроси Mozg
Открыть лучший ответ