М
Молодежь
К
Компьютеры-и-электроника
Д
Дом-и-сад
С
Стиль-и-уход-за-собой
П
Праздники-и-традиции
Т
Транспорт
П
Путешествия
С
Семейная-жизнь
Ф
Философия-и-религия
Б
Без категории
М
Мир-работы
Х
Хобби-и-рукоделие
И
Искусство-и-развлечения
В
Взаимоотношения
З
Здоровье
К
Кулинария-и-гостеприимство
Ф
Финансы-и-бизнес
П
Питомцы-и-животные
О
Образование
О
Образование-и-коммуникации
11cat13
11cat13
17.02.2020 01:57 •  Математика

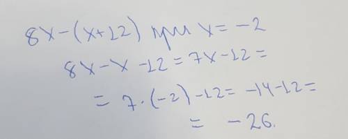
Найдите выражения

8х−(х+12) при х=−2.

👇
Ответ:
usenov7777
usenov7777
17.02.2020

Пошаговое объяснение:

Решение уравнения на фотографии


Найдите выражения 8х−(х+12) при х=−2.
4,6(59 оценок)
Открыть все ответы
Ответ:
рпипппит
рпипппит
17.02.2020
1).Запишите число, в котором 37 единиц 2-го класса и 8 единиц 1-ого класса.
ответ:37 008
2).Разложите число 14053 на сумму разрядных слагаемых.
ответ:14053=10*1000+4*1000+0*100+5*10+3
3).Найдите сумму чисел 480 и 240.
480+240=720
ответ:сумма чисел 480 и 240 равна 720
4).На сколько 590 больше, чем 3 десятка?
590-30=560
ответ:число 590 больше 3-х десятков на 560
5).Увеличьте число 120 в 6 раз.
120*6=720
ответ:число 120 увеличенное в 6 раз равно 720
6).Во сколько раз 5 км больше 100м?
5км=5000м⇒
⇒5000/100=50
ответ:5км больше 100м в 50 раз
4,6(57 оценок)
Ответ:
dkrutov03
dkrutov03
17.02.2020
На первом месте девять вариантов 1,29.
На втором
   если первая цифры 1,8,9 то один вариант 3,6,7 (соотвественно)
  если 2,3,4,5,6,7 по два варианта:
   для 2- 0 и 4, 
          3- 1 и 5, 
          4- 2 и 6
          5- 3 и 7
          6- 4 и 8
          7- 5 и 9
Итого уже 15 вариантов.
На втором месте по одной цифре 0,1,2,8,9 и по две с 3 по 7.
На третьем если вторая 0,1,8,9 дает один вариант (4 варианта)
            а  если 2,3,4,5,6,7 по два варианта
                  (1*2=2 варианта за двойку и 2*2*5=20 остальные)
Итого 4+2+20=26 вариантов
4,5(6 оценок)
Это интересно:
Новые ответы от MOGZ: Математика
logo
Вход Регистрация
Что ты хочешь узнать?
Спроси Mozg
Открыть лучший ответ