М
Молодежь
К
Компьютеры-и-электроника
Д
Дом-и-сад
С
Стиль-и-уход-за-собой
П
Праздники-и-традиции
Т
Транспорт
П
Путешествия
С
Семейная-жизнь
Ф
Философия-и-религия
Б
Без категории
М
Мир-работы
Х
Хобби-и-рукоделие
И
Искусство-и-развлечения
В
Взаимоотношения
З
Здоровье
К
Кулинария-и-гостеприимство
Ф
Финансы-и-бизнес
П
Питомцы-и-животные
О
Образование
О
Образование-и-коммуникации
GOLDENBEACH
GOLDENBEACH
05.06.2020 03:38 •  Математика

Выразите переменную x через переменную y из линейного уравнения с полным решением

👇
Ответ:
zanna10091976
zanna10091976
05.06.2020

x-3y+5=0 \\ x = 0 + 3y - 5 \\ x = 3y - 5

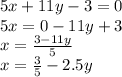
5x+11y-3=0 \\ 5x = 0 - 11y + 3 \\ x = \frac{3 - 11y}{5} \\ x = \frac{3}{5} - 2.5y

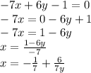
-7x+6y-1=0 \\ - 7x = 0 - 6y + 1 \\ - 7x = 1 - 6y \\ x = \frac{1 - 6y}{ - 7} \\ x = - \frac{1}{7} + \frac{6}{7y}

А во втором у тебя нету переменной х, брат

4,6(93 оценок)
Открыть все ответы
Ответ:
vadim252525
vadim252525
05.06.2020

Відповідь:

Покрокове пояснення:

1. Р(а)=С(10,3)×С(4,1)×С(6,1)/С(20,5)=0.1857585139

Р(б)=С(10,5)/С(20,5)=0.01625387

2. S□=2×2=4 площадь квадрата | ReZ| ≤ 1 , | ImZ| ≤ 1

S◇=1×2=2-площадь трапеции ImZ ≤ Re(3Z).

Р=2/4=1/2

3. Надежность первого звена =1-(1-(р□×р□×р○ ))×(1-p□×p○)= 1-(1-0.9^2×0.8)×(1-0.9×0.8)=0.90144

Надежность второго звена= 1-q○×q□×q○=1-0.8^2×0.9=0.424

Тогда надежность всей цепи = 0.90144×0.424=0.382

4. Разрив наступает при собитиях K U LM U NPQ

Разрив К. с р1=0.1. , надежность 1-0.1=0.9

Надежность LM =(1-0.2)(1-0.3)=0.8×0.7=0.56

Разрив LM=1-0.56=0.44

Надежность NPQ=(1-p4)(1-p5)(1-p6)=0.6×0.8×0.9=0.432

Разрив NPQ=1-0.432=0.568

вероятность разрыва электрической цепи=

1-0.9×0.56×0.432=0.782272

5. Пусть собитие Н1, Н2, Н3 вибраная урна 1, 2 или 3 соответственно

Р(Н1)=Р(Н2)=Р(Н3)=1/3

а) Собитие А- витянули белий шар

Р(А/Н1)=6/11

Р(А/Н2)=5/8

Р(А/Н3)=7/11

Тогда Р(А)=1/3(6/11+5/8+7/11)=0.602

б) Р(Н2/А)=(1/3×5/8)/0.602=0.346

4,6(99 оценок)
Ответ:
nataliamakarov3
nataliamakarov3
05.06.2020
Исходный прямоугольник:
1) 40,8/2=20,4 см - сумма длины и ширины прямоугольника
2) х - длина прямоугольника
    0,7х - ширина прямоугольника (100%-30%=70% или 0,7 от длины)
    х+0,7х=20,4
    х=20,4/1,7
    х =12 см - длина прямоугольника
3) 12*0,7=8,4 см - ширина прямоугольника
4) 12*8,4=100,8 см2 - площадь прямоугольника
новый прямоугольник:
1) 12+2,4=14,4 см- длина
2) 14,4*8,4=120,96 см2 - площадь прямоугольника
сравниваем площади:
100,8 см2 - 100%
120,96 см2 - х %
х=120,96*100/100,8=120%
120-100=20% площадь стала больше
2) 
4,6(36 оценок)
Это интересно:
Новые ответы от MOGZ: Математика
logo
Вход Регистрация
Что ты хочешь узнать?
Спроси Mozg
Открыть лучший ответ