М
Молодежь
К
Компьютеры-и-электроника
Д
Дом-и-сад
С
Стиль-и-уход-за-собой
П
Праздники-и-традиции
Т
Транспорт
П
Путешествия
С
Семейная-жизнь
Ф
Философия-и-религия
Б
Без категории
М
Мир-работы
Х
Хобби-и-рукоделие
И
Искусство-и-развлечения
В
Взаимоотношения
З
Здоровье
К
Кулинария-и-гостеприимство
Ф
Финансы-и-бизнес
П
Питомцы-и-животные
О
Образование
О
Образование-и-коммуникации
asatuchina1502
asatuchina1502
19.04.2023 16:57 •  Математика

Решила , но хочу убедится в ответе !

👇
Ответ:
nast60
nast60
19.04.2023

Пошаговое объяснение:

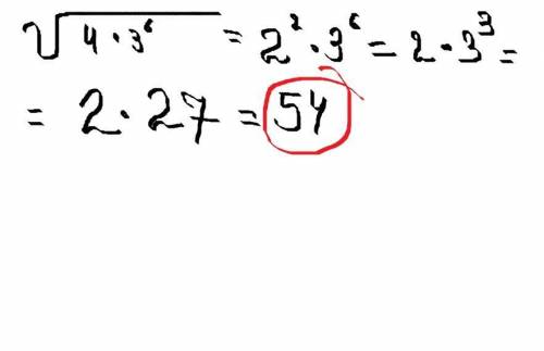
\sqrt{4*3^6}=\sqrt{2^2*3^6}=2*3^3=2*27=54

4,8(70 оценок)
Ответ:
sweetdog7
sweetdog7
19.04.2023

54

Пошаговое объяснение:


Решила , но хочу убедится в ответе !
4,4(98 оценок)
Открыть все ответы
Ответ:
voborocha
voborocha
19.04.2023
S = v * t - формула пути
1  км = 1 000 м 

                                 Скорость (v)            Время (t)            Расстояние (s)
Путь до школы        одинаковая                   ?                        1 200 м     
Путь до парка          одинаковая      на 10 мин. меньше          400 м

1) 1 200 - 400 = 800 (м) - на столько путь до парка меньше, чем до школы;
2) 800 : 10 = 80 (м/мин) - скорость Марины (одинаковая); 
3) 1 200 : 80 = 15 (мин) - время пути до школы;
4) 400 : 80 = 5 (мин) - время пути до парка.
ответ: 15 минут идёт Марина до школы и 5 минут - до парка. 
4,7(9 оценок)
Ответ:
alexc123
alexc123
19.04.2023

Прометей - настоящий герой, титан. Для того, чтобы улучшить жизнь людей, он пожертвовал собой. Первые люди жили в пещерах, замерзали, не ели ничего вкусного - они еще не знали охоты и не имели огня. У Прометея было благородное сердце. Он научил людей строить дома, приручать животных и делал для них все, что знал сам. Люди теперь знали, как найти путь по звездам, как добывать из земли медь, золото и серебро. Прометей не побоялся для людей похитить огонь из дома отца. Он принес людям небольшую искру, и с тех пор засверкали веселые костры на земле. Но очень разгневался Зевс, приказал приковать титана к скале на долгие века. Прометей был провидцем и знал, что его ждут страшные муки, но все же сделал добро для людей. Много поколений сменилось на земле, а Прометей все еще нес свое наказание, пока его не освободил Геракл.

4,4(75 оценок)
Новые ответы от MOGZ: Математика
logo
Вход Регистрация
Что ты хочешь узнать?
Спроси Mozg
Открыть лучший ответ