М
Молодежь
К
Компьютеры-и-электроника
Д
Дом-и-сад
С
Стиль-и-уход-за-собой
П
Праздники-и-традиции
Т
Транспорт
П
Путешествия
С
Семейная-жизнь
Ф
Философия-и-религия
Б
Без категории
М
Мир-работы
Х
Хобби-и-рукоделие
И
Искусство-и-развлечения
В
Взаимоотношения
З
Здоровье
К
Кулинария-и-гостеприимство
Ф
Финансы-и-бизнес
П
Питомцы-и-животные
О
Образование
О
Образование-и-коммуникации
Nadia2829
Nadia2829
15.08.2020 11:22 •  Математика

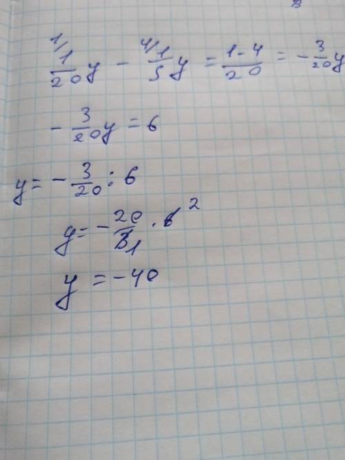
Решите уравнение 1/20y+5=11+1/5y

👇
Ответ:
Решение на фото. ответ -40
Сначала переносим игреки налево, потом приводим к общему знаменателю.
Решите уравнение 1/20y+5=11+1/5y
4,7(65 оценок)
Ответ:
Fentis001
Fentis001
15.08.2020

Якось так це робиться скорочено


Решите уравнение 1/20y+5=11+1/5y
4,7(32 оценок)
Открыть все ответы
Ответ:
262ник626
262ник626
15.08.2020
соотношение площадей 1:9, надо найти такое соотношение площадей (т.е. числитель и знаменатель) , которое в сумме будут равны 100, а значение площадей (цифры) будут в квадрате. 100:2=50, значит одно значение будет > 50, а другое < 50. найдем квадрат числа близкий к 50. 49 (7*7). Проверим 49*9=441 > уже больше 100, не подходит. 81 (9*9). 81:9=9 (3*3), 81+9=90. 90 < 100 - не подходит. Нет решения. Это были максимальные значения, дальше суммы будут больше 100. пусть одна площадь х, другая 9х, тогда х+9х=100, 10х=100, х=10, 10*9=90. √10 и √90 не высчитывается. даже уравнением не решается. Посмотри может в условии что то не так написано ( опечатка).
4,7(34 оценок)
Ответ:
lehfrb
lehfrb
15.08.2020
42*2+42x+22x=340                                                                                            84+64x=340                                                                                                      64x=340-84                                                                                                        64x=256                                                                                                            x=256/64                                                                                                           x=4                                     ответ:4 часа                           
4,8(7 оценок)
Это интересно:
Новые ответы от MOGZ: Математика
logo
Вход Регистрация
Что ты хочешь узнать?
Спроси Mozg
Открыть лучший ответ