М
Молодежь
К
Компьютеры-и-электроника
Д
Дом-и-сад
С
Стиль-и-уход-за-собой
П
Праздники-и-традиции
Т
Транспорт
П
Путешествия
С
Семейная-жизнь
Ф
Философия-и-религия
Б
Без категории
М
Мир-работы
Х
Хобби-и-рукоделие
И
Искусство-и-развлечения
В
Взаимоотношения
З
Здоровье
К
Кулинария-и-гостеприимство
Ф
Финансы-и-бизнес
П
Питомцы-и-животные
О
Образование
О
Образование-и-коммуникации
ayer1
ayer1
25.12.2021 04:11 •  Математика

Известно что у = 0,25х - 5/6. сравните: 1) у(-1); у(4); у(-8) . 42 ! ​

👇
Ответ:
lovelovelove11
lovelovelove11
25.12.2021

Пошаговое объяснение:

по возрастанию

У(-8) = -2 - 5/6 = -2 5/6

У(-1) = 0,25 - 5/6 = - 7/12

У(4) = 1 - 5/6 = 1/6

4,8(22 оценок)
Ответ:
ILiveYou
ILiveYou
25.12.2021

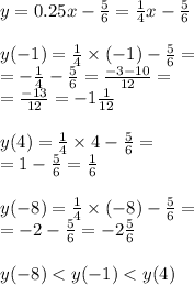
y = 0.25x- \frac{5}{6} = \frac{1}{4} x - \frac{5}{6} \\ \\ y( - 1) = \frac{1}{4} \times ( - 1) - \frac{5}{6} = \\ = - \frac{1}{4} - \frac{5}{6} = \frac{ - 3 - 10}{12} = \\ = \frac{ - 13}{12} = - 1 \frac{1}{12} \\ \\ y( 4) = \frac{1}{4} \times 4 - \frac{5}{6} = \\ = 1 - \frac{5}{6} = \frac{1}{6} \\ \\ y( - 8) = \frac{1}{4} \times ( - 8) - \frac{5}{6} = \\ = - 2- \frac{5}{6} = - 2 \frac{5}{6} \\ \\ y( - 8) < y( - 1) < y( 4)

y( - 8) < y( - 1) < y( 4)

4,6(22 оценок)
Открыть все ответы
Ответ:
vladakolyrova
vladakolyrova
25.12.2021
Noch im Alter von 9 Jahren träumte er über die Ausgrabungen der antiken griechischen Stadt Troja. Es wurde das Ziel seines Lebens. Die Mutter ist früh gestorben, und der Vater war noch sieben Kinder. Er konnte nicht zahlen Studiengebühren in der Schule. Und er musste aus dem Gymnasium. In fünfeinhalb Jahren Stand er hinter der Theke. In den 19 Jahren ging er zu Fuß nach Rostock, von dort nach Hamburg, Amsterdam. Jede freie Minute, die er studierte Sprachen. Er hat seine Methode. Auf jede neue Sprache musste er sieben Wochen. Am Ende seines Lebens, er wusste 21 Sprache. Er wusste sehr gut Deutsch. Er lange lebte und arbeitete in Russland. Und erst 18 Jahre alt, er wurde Reich und begann zu verwirklichen Ihren Traum. Er sagte einmal, dass er weiß, wo liegt Troja. Und es haben verrückten. Er Troja ausgegraben und fand серебренные und die Goldenen Gegenstände.
4,5(97 оценок)
Ответ:
KristaYu
KristaYu
25.12.2021
Задача.1.Действия:
1) 4500*4=18000(упаковок) -  привозят в каждую аптеку за март
2)3750*4= 15000 (упаковок) -  продает аптека №1 за март
3)18000-15000=3000 (упаковок) - остаётся в аптеке №1 за март
Задача.2. Действия:
1) 630*7=4410 (упаковок) - продаёт аптека №2 за неделю
2) 4410*4=17640(упаковок) -  продает аптека №2 за март 
3) 18000-17640=360(упаковок) - остаётся в атеке № 2
Задача. 3.Действия.
1)18000-17500=500(упаковок) - остается в аптеке за месяц
2)18000/ 4=4500 уп привозят в 3 аптеку в неделю4500/500=9 месяцев понадобится 3 аптеке , чтобы накопить недельное кол-во привоза

Подробнее - на -
4,8(54 оценок)
Это интересно:
Новые ответы от MOGZ: Математика
logo
Вход Регистрация
Что ты хочешь узнать?
Спроси Mozg
Открыть лучший ответ