М
Молодежь
К
Компьютеры-и-электроника
Д
Дом-и-сад
С
Стиль-и-уход-за-собой
П
Праздники-и-традиции
Т
Транспорт
П
Путешествия
С
Семейная-жизнь
Ф
Философия-и-религия
Б
Без категории
М
Мир-работы
Х
Хобби-и-рукоделие
И
Искусство-и-развлечения
В
Взаимоотношения
З
Здоровье
К
Кулинария-и-гостеприимство
Ф
Финансы-и-бизнес
П
Питомцы-и-животные
О
Образование
О
Образование-и-коммуникации
Rafaelnodat1
Rafaelnodat1
16.12.2022 10:23 •  Математика

Решить уравнение:
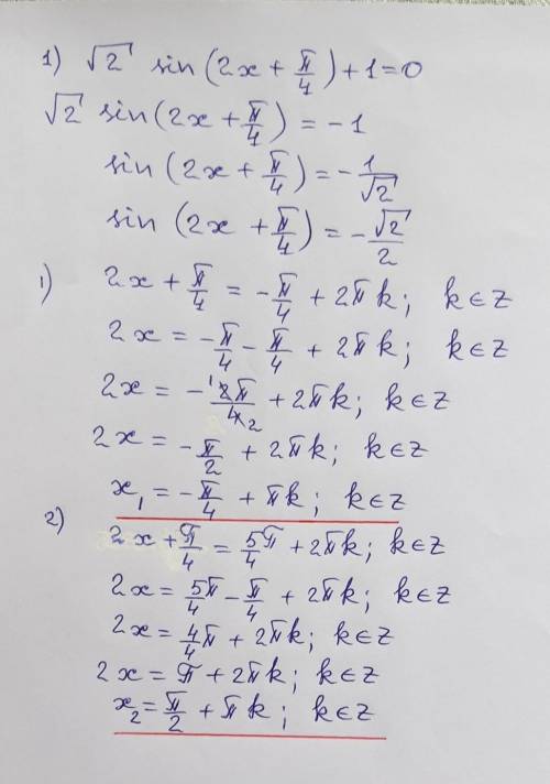
1) √2 sin⁡(2x+π/(4 )+1=0
2) sin2x-5sinx-2=0
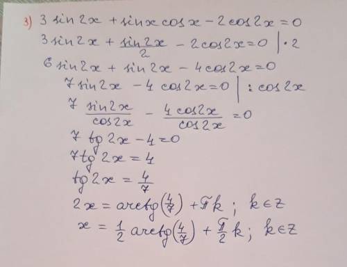
3) 3 sin2x+sinx•cosx-2cos2x=0

👇
Ответ:
arsenpolenov
arsenpolenov
16.12.2022

Решить триг. уравнение.


Решить уравнение: 1) √2 sin⁡(2x+π/(4 )+1=0 2) sin2x-5sinx-2=0 3) 3 sin2x+sinx•cosx-2cos2x=0
Решить уравнение: 1) √2 sin⁡(2x+π/(4 )+1=0 2) sin2x-5sinx-2=0 3) 3 sin2x+sinx•cosx-2cos2x=0
4,6(43 оценок)
Открыть все ответы
Ответ:
rasimallamurato
rasimallamurato
16.12.2022
Добрый день!
Во-первых, пишется единиц, переписывать грамотно полезно не только на уроках русского языка)))
Во вторых, такие задачи решаются следующим образом: представим некие две цифры (помним, что цифры - это 0,1,...9), образующие двузначное число. Что нам про них известно? Что их произведение равно наибольшему однозначному числу. Что такое наибольшее однозначное число? Это самая большая цифра, то есть? Правильно, 9! Итак, наше двузначное число состоит из цифр, произведение которых 9. Какие это могут быть цифры? 1*9=9, 3*3=9, 9*1=9 собственно и все. То есть наше число или 19 или 33 или 91. Читаем второе условие задачи - число десятков (то есть первая цифра двузначного числа) меньше числа единиц (то есть второй цифры двузначного числа). Такому решению удовлетворяет только одно из полученных нами чисел, какое, я уверена, ты уже поняла сама!
4,6(70 оценок)
Ответ:
latypova04
latypova04
16.12.2022
Добрый день!
Во-первых, пишется единиц, переписывать грамотно полезно не только на уроках русского языка)))
Во вторых, такие задачи решаются следующим образом: представим некие две цифры (помним, что цифры - это 0,1,...9), образующие двузначное число. Что нам про них известно? Что их произведение равно наибольшему однозначному числу. Что такое наибольшее однозначное число? Это самая большая цифра, то есть? Правильно, 9! Итак, наше двузначное число состоит из цифр, произведение которых 9. Какие это могут быть цифры? 1*9=9, 3*3=9, 9*1=9 собственно и все. То есть наше число или 19 или 33 или 91. Читаем второе условие задачи - число десятков (то есть первая цифра двузначного числа) меньше числа единиц (то есть второй цифры двузначного числа). Такому решению удовлетворяет только одно из полученных нами чисел, какое, я уверена, ты уже поняла сама!
4,5(25 оценок)
Это интересно:
Новые ответы от MOGZ: Математика
logo
Вход Регистрация
Что ты хочешь узнать?
Спроси Mozg
Открыть лучший ответ