М
Молодежь
К
Компьютеры-и-электроника
Д
Дом-и-сад
С
Стиль-и-уход-за-собой
П
Праздники-и-традиции
Т
Транспорт
П
Путешествия
С
Семейная-жизнь
Ф
Философия-и-религия
Б
Без категории
М
Мир-работы
Х
Хобби-и-рукоделие
И
Искусство-и-развлечения
В
Взаимоотношения
З
Здоровье
К
Кулинария-и-гостеприимство
Ф
Финансы-и-бизнес
П
Питомцы-и-животные
О
Образование
О
Образование-и-коммуникации
алек36
алек36
25.11.2021 13:09 •  Математика

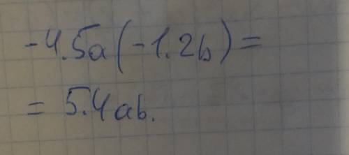
-4,5 а×(-1,2б РЕШИТЬ ЭТОТ ПРИМЕР... УМОЛЯЮ!

👇
Ответ:
ната34567890
ната34567890
25.11.2021

Пошаговое объяснение:

-4,5 а×(-1,2б)=5.4аб

4,6(9 оценок)
Ответ:
25.11.2021

Решение во вложении.


-4,5 а×(-1,2б РЕШИТЬ ЭТОТ ПРИМЕР... УМОЛЯЮ!
4,6(31 оценок)
Открыть все ответы
Ответ:
ilyasovazalina
ilyasovazalina
25.11.2021
Этап 1-ый, крайне важный — основа понимания Для начала нужно убедиться в том, что ребенок понимает, что если к обеим частям верного равенства добавить (вычесть) одно и то же, то получиться верное равенство. — Если в одной корзине лежит 5 яблок и в другой 5 яблок. В корзинах одинаковое количество яблок?.. А если мы в каждую корзину положим еще по одному яблоку. Все равно будет одинаковое количество?.. А если уберем по яблоку?.. — А если мы не знаем, сколько точно было яблок в корзинах, но знаем, что одинаково, то что будет, если добавим по одному яблоку? Одинаково?.. А если заберем по одному яблоку?.. — А если мы в корзины положим одинаковое количество яблок? А если заберем одинаковое количество? — А если мы к обеим частям равенства 4 = 4 прибавим 3? Одинаково получится? А если вычтем три? В общем, надо убедиться в том, что ребенок понимает, что можно свободно к обеим частям верного равенства прибавлять (вычитать) одно и то же, и верность равенства при этом будет сохраняться. Этап второй — а что вообще надо сделать? В Андрюхином учебнике есть определение, что такое уравнение… «Уравнение — это равенство, один из компонентов действий которого нужно найти»… «Один из компонентов действий которого»… Не знаю, как авторы учебника, но мой ребенок вообще не понял о чем речь, пришлось объяснять на пальцах. А что значит «решить уравнение» там не написано! А просто приведен процесс решения на примерах… И, как мне кажется, в этом крылась основная часть проблем, из-за которых Андрей никак не мог разобраться с уравнениями — он не мог понять куда подставлять найденное значение, чтобы сделать проверку, и все время подставлял в какие-то промежуточные вычисления, а не в изначальное уравнение… А все потому что не было четкого понимания, что значит решить уравнение, а, следовательно, и как убедиться, что ты его правильно решил. Итак, решить уравнение — значит найти такие значения неизвестных, при которых уравнение превращается в верное равенство. То есть, на языке первого класса, найти такое число, которое можно поставить в уравнение вместо х и получить верное равенство. Добиваемся того, чтобы ребенок это понял, чтобы мог определить, что является решением уравнения, а что нет. — Число 2 является решением уравнения х+3=5? А как ты узнал? — А число 3 является решением уравнения 3-х=4? А почему?.. Этап третий — решаем длинно Теперь показываем, как решать уравнения на разнотипных примерах (примеров надо побольше, чтобы усвоилось, но я приведу тут четыре) 1) х+2=3 Что нам нужно, чтобы найти х? Хотелось бы получить равенство вида «х=выражение», тогда мы просто посчитаем чему равно выражение и получим ответ. Что нам мешает? Мешает «+2», которая стоит после х. Как нам ее убрать? Чтобы убрать эту «+2» попробуем из обеих частей уравнения вычесть два. Получаем: х+2-2=3-2 2-2=0, говорят, что «2» и «-2» сокращаются… Получается: х=3-2 х=1. Убедимся, что число 1, которое мы нашли, действительно является решением. Для этого подставим его вместо х в уравнение. 1+2=3 3=3 — верно! Значит, 1 действительно является решением уравнения х+2=3. 2) 3+х=5 (детям может быть не очевидно, что уравнения где х на первом месте и на втором, по сути, одинаковы) Нам нужно получить равенство вида «х=выражение». Нам мешает 3. Попробуем вычесть 3 из обеих частей уравнения. Получаем: 3+х-3=5-3 3 и -3 сокращаются (3-3=0), получается: х=5-3 х=2. Убедимся, что 2 является решением, поставим вместо х в уравнение: 3+2=5 — верно! 3) x-1=3 Хотелось бы получить равенство вида: «х=выражение». Что нам мешает? Мешает «-1», которая стоит после х. Как нам ее убрать? Попробуем к обеим частям уравнения прибавить 1. Получаем: х-1+1=3+1 Вычесть 1 и прибавить 1 — это все равно, что ничего не делать. Говорят, что «-1» и «1» сокращаются… Получается: х=3+1 х=4. Убедимся, что число 4, которое мы нашли, действительно является решением. Для этого подставим его вместо х в уравнение. 4-1=3 3=3 — верно! Значит, 4 действительно является решением уравнения х-1=3 4) 6-х=3 Тут нам вообще не повезло — минус перед х. Попробуем прибавить х к обеим частям уравнения: 6-х+х=3+х -х и х сокращаются: 6=3+х Запишем в более привычном виде: поменяем местами части уравнения: 3+х=6 Нам мешает 3. Вычтем 3 из обеих частей уравнения: 3+х-3=6-3 3 и -3 сокращаются: х=6-3 х=3. Делаем проверку, поставляем 3 вместо х в уравнение: 6-3=3 3=3 —верно! Этап 4 — сокращаем решение Когда ребенок уже четко освоится с этой системой прибавления или вычитание чего-либо из обеих частей уравнения, можно ему объяснить вот что: х+2=3 х+2-2=3-2 х=3-2 Если сравнить первую и последнюю строчку, то можно заметить, что 2 как бы «перепрыгнула» на другую сторону с противоположным знаком. Аналогично в других задачах: 3+х=5 3+х-3=5-3 х=5-3 х-1=3 х-1+1=3+1 х=3+1 6—х=3 6-х+х=3+х 6=3+х 3+х=6 3+х-3=6-3 х=6-3 Говорят «перенести в другую часть с противоположным знаком». Если ребенок прочувствовал закономерность, то можно сразу переносить, сократив количество строк в решении. Вот и все… Никаких правил не надо заучивать.
4,6(28 оценок)
Ответ:
lezginocka11
lezginocka11
25.11.2021

    Признак делимости на 6: число делится на 6, если сумма всех цифр этого числа делится на 3 и последняя цифра этого числа делится на 2.

    Значит последней цифрой может стоять только 0, так как 1; 3; 5;7 - нечетные числа .

    Остается составить двузначные числа из цифр 1; 3; 5; 7, при условии, что каждая цифра встречается в числе только 1 раз:

   4!/(4!-2!)=

   4!/2!=

    4*3*2*1/2*1=

     4*3=12

Можно составить 12  двузначных чисел:

31  35  37

51  53 57

71  73  75

    Теперь нужно найти числа, подходящие для составления 3-х значных чисел, по условию задания. Это могут быть числа, сумма цифр которых делится на 6:

15; 51; 57;75

С правой стороны ставим 0 и получаем 3-х значные числа. которые делятся на 6

150; 510; 570; 750

ответ: Можно составить 4 числа

ответ: 3 числа

4,4(38 оценок)
Это интересно:
Новые ответы от MOGZ: Математика
logo
Вход Регистрация
Что ты хочешь узнать?
Спроси Mozg
Открыть лучший ответ