М
Молодежь
К
Компьютеры-и-электроника
Д
Дом-и-сад
С
Стиль-и-уход-за-собой
П
Праздники-и-традиции
Т
Транспорт
П
Путешествия
С
Семейная-жизнь
Ф
Философия-и-религия
Б
Без категории
М
Мир-работы
Х
Хобби-и-рукоделие
И
Искусство-и-развлечения
В
Взаимоотношения
З
Здоровье
К
Кулинария-и-гостеприимство
Ф
Финансы-и-бизнес
П
Питомцы-и-животные
О
Образование
О
Образование-и-коммуникации

Розв'язати нерівність 2х2 + 6х – 6 ≥ 3х2 – 2х + 6

👇
Ответ:
BeliyTigr115
BeliyTigr115
30.08.2020

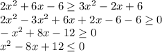
2x^{2} +6x-6\geq 3x^{2} -2x+6\\2x^{2} -3x^{2}+6x+2x-6-6\geq 0\\-x^{2} +8x-12\geq 0\\x^{2}-8x+12\leq 0

(x-2)(x-6)\leq0

x принадлежит [2,6]

4,8(79 оценок)
Открыть все ответы
Ответ:
sofiyasan7
sofiyasan7
30.08.2020
1. Солдату нужно быть здоровому, храброму, честному. Любой воин должен понимать свое действие. Не обижать людей других национальностей. Учение - свет, неученье - тьма. 
2. Университет им. Ломоносова, ныне МГУ.
3. Стали открываться училища, было уделено внимание женщинам, их образованию, был открыт Смольный институт благородных девиц.
4. Вместо панталон - брюки, появился галстук.
5. 1) Свеча Яблочкова. 2) Земледелие и физиология растений.

Надеюсь, что у меня все правильно и, если это так, то жду "Лучшего ответа". :) (Если что то непонятно, напиши в комментарии, объясню).
4,7(22 оценок)
Ответ:
BWorld
BWorld
30.08.2020
1. Солдату нужно быть здоровому, храброму, честному. Любой воин должен понимать свое действие. Не обижать людей других национальностей. Учение - свет, неученье - тьма. 
2. Университет им. Ломоносова, ныне МГУ.
3. Стали открываться училища, было уделено внимание женщинам, их образованию, был открыт Смольный институт благородных девиц.
4. Вместо панталон - брюки, появился галстук.
5. 1) Свеча Яблочкова. 2) Земледелие и физиология растений.

Надеюсь, что у меня все правильно и, если это так, то жду "Лучшего ответа". :) (Если что то непонятно, напиши в комментарии, объясню).
4,8(44 оценок)
Новые ответы от MOGZ: Математика
logo
Вход Регистрация
Что ты хочешь узнать?
Спроси Mozg
Открыть лучший ответ